注射用氢化可的松琥珀酸钠

来自医学百科

通用名注射用氢化可的松琥珀酸钠

曾用名:

英文名: HYDROCORTISONE SODIUM SUCCINATE FOR INJECTION

拼音名: ZHSHEYONG QINGHUAKEDISONG HUPOSUANNA

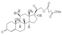
本品主要成分:氢化可的松琥珀酸钠,其化学名称为:11β,17—二羟基—21—(3-羧基—1—羟丙氧基)孕甾-4-烯-3,20-二酮,—钠盐。

结构式

分子式为:C25H33NaO8

分子量:484.52

药品类别: 肾上腺皮质激素类  

适应症[编辑 | 编辑源代码]

用于抢救危重病人如中毒性感染、过敏性休克、严重的肾上腺皮质功能减退症、结缔组织病、严重的支气管哮喘过敏性疾病,并可用于预防和治疗移植急性排斥反应。  

性状[编辑 | 编辑源代码]

本品为白色或几乎白色的疏松块状物。  

药理毒理[编辑 | 编辑源代码]

肾上腺皮质激素类药。氢化可的松琥珀酸钠是氢化可的松的盐类化合物。具有抗炎、抗过敏和抑制免疫等多种药理作用。 (1)抗炎作用:糖皮质激素减轻和防止组织对炎症的反应,从而减轻炎症的表现。 (2)免疫抑制作用:防止或抑制细胞中介的免疫反应,延迟性的过敏反应,并减轻原发免疫反应的扩展。 (3)抗毒、抗休克作用:糖皮质激素能对抗细菌内毒素对机体的刺激反应,减轻细胞损伤,发挥保护机体的作用。  

药代动力学[编辑 | 编辑源代码]

氢化可的松琥珀酸钠盐为水溶性制剂,可用于静脉注射或作为迅速吸收的肌肉注射剂而迅速发挥作用,其生物T1/2约为100分钟,血中90%以上的氢化可的松与血浆蛋白相结合。本品主要经肝脏代谢,转化为四氢可的松和四氢氢化可的松,大数代谢产物结合成葡糖醛酸酯,极少量以原型经尿排泄。  

用法用量[编辑 | 编辑源代码]

临用前,用生理氯化钠注射液或5%葡萄糖注射液稀释后使用。静脉注射 用于治疗成人肾上腺皮质功能减退及垂体前叶功能减退危象,严重过敏反应,哮喘持续状态休克,每次游离型100mg或氢化可的松琥珀酸钠135mg 静脉滴注,可用至每日mg至400mg,疗程不超过3-5日。  

不良反应[编辑 | 编辑源代码]

糖皮质激素在应用生理剂量替代治疗时无明显不良反应,不良反应多发生在应用药药理剂量时,而且与疗程、剂量、用药种类、用法及给药途径等有密切关系。常见不良反应有以下几类: 1.长程使用可引起以下副作用:医源性库欣综合征面容和体态、体重增加下肢浮肿、紫纹、易出血倾向、创口愈合不良、痤疮月经紊乱、肱或股骨头缺血性坏死骨质疏松骨折(包括脊椎压缩性骨折、长骨病理性骨折)、肌无力肌萎缩低血钾综合征胃肠道刺激(恶心呕吐)、胰腺炎消化性溃疡穿孔,儿童生长受到抑制、青光眼白内障、良性颅内压升高综合征、糖耐量减退和糖尿病加重。 2.患者可出现精神症状欣快感、激动、谵妄、不安、定向力障碍,也可表现为抑制。精神症状由易发生与患慢性消耗性疾病的人及以往有过精神不正常者。 3.并发感染为肾上腺皮质激素的主要不良反应。以真菌结核菌葡萄球菌变形杆菌绿脓杆菌和各种疱疹病毒为主。 4.糖皮质激素停药综合征。有时患者在停药后出现头晕昏厥倾向、腹痛背痛、低热、食欲减退、恶心、呕吐、肌肉关节疼痛、头疼、乏力、软弱,经仔细检查如能排除肾上腺皮质功能减退和原来疾病的复燃,则可考虑为对糖皮质激素的依赖综合征。 5.静脉迅速给予大剂量可能发生全身性的过敏反应,包括面部、鼻黏膜眼睑肿胀,寻麻疹气短胸闷喘鸣  

其它[编辑 | 编辑源代码]

禁忌症: 对本品及其它甾体激素过敏者禁用。下列疾病患者一般不宜使用,特殊情况应权衡利弊使用,但应注意病情恶化可能:严重的精神病(过去或现在)和癫痫,活动性消化性溃疡病,新近胃肠吻合手术,骨折,创伤修复期,角膜溃疡肾上腺皮质机能亢进症,高血压糖尿病,孕妇,抗菌药物不能控制的感染如水痘、麻疹、霉菌感染、较重的骨质疏松等。

注意事项: 1. 诱发感染:在激素作用下,原来已被控制的感染可活动起来,最常见者为结核感染复发。在某些感染时应用激素可减轻组织的破坏、减少渗出、减轻感染中毒症状,但必须同时用有效的抗生素治疗、密切观察病情变化,在短期用药后,即应迅速减量、停药。 2. 对诊断的干扰:(1) 糖皮质激素可使血糖、血胆固醇血脂肪酸、血钠水平升高、使血钙、血钾下降。(2) 对外周血象的影响为淋巴细胞真核细胞及嗜酸、嗜碱细胞数下降,多核白细胞血小板增加,后者也可下降。(3) 长期大剂量服用糖皮质激素可使皮肤试验结果呈假阴性,如结核菌素试验、组织胞浆菌素试验和过敏反应皮试等。(4) 还可使甲状腺131I摄取率下降,减弱促甲状腺激素(TSH)对TSH释放素(TRH)刺激的反应,使TRH兴奋实验结果呈假阳性。干扰促黄体生成素释放素(LHRH)兴奋试验的结果。(5) 使同位素脑和骨显象减弱或稀疏。 3. 下列情况应慎用:心脏病急性心力衰竭、糖尿病、憩室炎、情绪不稳定和有精神病倾向、全身性真菌感染、青光眼、肝功能损害、眼单纯性疱疹高脂蛋白血症、高血压、甲减(此时糖皮质激素作用增强)、重症肌无力、骨质疏松、胃溃疡胃炎食管炎、肾功能损害或结石、结核病等。 4. 随访检查:长期应用糖皮质激素者,应定期检查以下项目:(1) 血糖、尿糖或糖耐量试验,尤其是糖尿病或糖尿病倾向者。(2) 小儿应定期检测生长和发育情况。(3) 眼科检查,注意白内障、青光眼或眼部感染的发生。(4) 血清电解质和大便隐血。(5) 高血压和骨质疏松的检查,尤以老年人为然。

孕妇及哺乳期妇女用药: (1) 妊娠期用药:糖皮质激素可通过胎盘。动物实验研究证实孕期给药可增加胚胎腭裂,胎盘功能不全、自发性流产和子宫内生长发育迟缓的发生率。人类使用药理剂量的糖皮质激素可增加胎盘功能不全、新生儿体重减少死胎的发生率。(2) 哺乳期用药:由于糖皮质激素可由乳汁中排泄,对婴儿造成不良影响,如生长受抑制、肾上腺皮质功能抑制等。孕妇及哺乳期妇女在权衡利弊情况下,尽可能避免使用。

儿童用药: 小儿如长期使用肾上腺皮质激素,须十分慎重。

老年患者用药: 老年患者用糖皮质激素易发生高血压及糖尿病。老年患者尤其是更年期后的女性应用糖皮质激素易加重骨质疏松。

药物相互作用: ⑴非甾体消炎镇痛药可加强其致溃疡作用。 ⑵可增强对乙酰氨基酚的肝毒性。 ⑶与两性霉素B碳酸酐酶抑制剂合用,可加重低钾血症,长期与碳酸酐酶抑制剂合用,易发生低血钙和骨质疏松。 ⑷与蛋白质同化激素合用,可增加水肿的发生率,使痤疮加重。 ⑸与抗胆碱能药(如阿托品)长期合用,可致眼压增高。 ⑹三环类抗抑郁药可使其引起的精神症状加重。 ⑺与降糖药胰岛素合用时,因可使糖尿病患者血糖升高,应适当调整降糖药剂量。 ⑻甲状腺激素可使其代谢清除率增加,故甲状腺激素或抗甲状腺药与其合用,应适当调整后者的剂量。 ⑼与避孕药雌激素制剂合用,可加强其治疗作用和不良反应。 ⑽与强心苷合用,可增加洋地黄毒性及心律紊乱的发生。 ⑾与排钾利尿药合用,可致严重低血钾,并由于水钠潴留而减弱利尿药的排钠利尿效应。 ⑿与麻黄碱合用,可增强其代谢清除。 ⒀与免疫抑制剂合用,可增加感染的危险性,并可能诱发淋巴瘤或其他淋巴细胞增生性疾病。 ⒁可增加异烟肼在肝脏代谢和排泄,降低异烟肼的血药浓度和疗效。 ⒂可促进美西律在体内代谢,降低血药浓度。 ⒃与水杨酸盐合用,可减少血浆水杨酸盐的浓度。 ⒄与生长激素合用,可抑制后者的促生长作用。

药物过量: 可引起类肾上腺皮质功能亢进综合症

贮藏: 密闭,遮光保存。