水溶性维生素

来自医学百科

(water-soluble vitamins) 

水溶性维生素常是辅酶或辅基的组成部分。

水溶性维生素E

主要包括维生素B1维生素B2和维生素C等。一类能溶于水的有机营养分子。其中包括在酶的催化中起着重要作用的B族维生素以及抗坏血酸维生素C)等。  

维生素B[编辑 | 编辑源代码]

维生素B1[编辑 | 编辑源代码]

硫胺素。由一个取代的噻唑环和一个取代的嘧啶环组成,因噻唑环含硫,

水溶性维生素B1(硫胺素)化学结构式

嘧啶环有氨基取代而得名。他就是Funk发现的vitamine。硫胺素与ATP反应,生成其活性形式:硫胺素焦磷酸(TPP),即脱羧辅酶。其分子中氮和硫之间的碳原子性质活泼,易脱氢。生成的负碳离子有亲核催化作用。羧化辅酶作为酰基载体,是α酮酸脱羧酶的辅基,也是转酮醇酶的辅基,在糖代谢中起重要作用。缺乏硫胺素会导致糖代谢障碍,使血液丙酮酸和乳酸含量增多,影响神经组织供能,产生脚气病。主要表现为肌肉虚弱、萎缩小腿沉重、下肢水肿心力衰竭等。可能是由于缺乏TPP而影响神经的能源与传导。硫胺素在糙米、油菜、猪肝、鱼、瘦肉中含量丰富。但生鱼中含有破坏B1的酶,咖啡、可可、茶等饮料也含有破坏B1的因子。保持循环、消化、神经和肌内正常功能;调整胃肠道的功能;构成脱羧酶的辅酶,参加糖的代谢;能预防脚气病。  

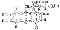
维生素B2[编辑 | 编辑源代码]

又叫核黄素。核黄素是异咯嗪与核醇的缩合物,是黄素蛋白的辅基。

水溶性维生素B2(核黄素)化学结构式

它有两种活性形式,一种是黄素单核苷酸(FMN),一种是黄素腺嘌呤二核苷酸(FAD)。这里把核黄素看作核苷,即把异咯嗪看作碱基,把核醇看作核糖

异咯嗪的N1、N10能可逆地结合一对氢原子,所以可作为氧化还原载体,构成多种黄素蛋白的辅基,在三羧酸循环氧化磷酸化、α酮酸脱羧、β氧化、氨基酸脱氨、嘌呤氧化等过程中起传递氢和电子的作用。

主要从食物中摄取,如谷类、黄豆、猪肝、肉、蛋、奶等,也可由肠道细菌合成。冬季北方缺少阳光,植物合成V-B2也少,常出现口角炎。缺乏V-B2还可引起唇炎舌炎贫血等。

核典素是体内许多重要辅酶类的组成成分,这些酶能在体内物质代谢过程中传递氢,它还是蛋白质、糖、脂肪酸代谢和能量利用与组成所必需的物质。能促进生长发育,保护眼睛、皮肤的健康。  

维生素B3[编辑 | 编辑源代码]

又称烟酸,也叫遍多酸,广泛存在,极少缺乏。由一分子β丙氨酸与一分子羧酸缩合而成。

泛酸可构成辅酶A,是酰基转移酶的辅酶。也可构成酰基载体蛋白(CAP),是脂肪酸合成酶复合体的成分。

可抗应激、抗寒冷、抗感染、防止某些抗生素毒性,消除术后腹胀。  

维生素B4[编辑 | 编辑源代码]

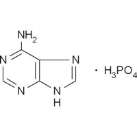
腺嘌呤,本品是核酸的组成成分,参与遗传物质的合成。能促进白细胞增生

水溶性维生素B4(腺嘌呤)化学结构式

,使白细胞数目增加,用于防治各种原因引起的白细胞减少症,特别是用于肿瘤化学治疗时引起的白细胞减少症,也用于急性粒细胞减少症。

  

维生素B5[编辑 | 编辑源代码]

又叫泛酸,即尼克酰胺,尼克酰胺和尼克酸分别是吡啶酰胺和吡啶羧酸,都是抗糙皮病因子,

水溶性维生素B5(尼克酰胺)化学结构式

又称VPP。其活性形式有两种,尼克酰胺腺嘌呤二核苷酸(NAD)和尼克酰胺腺嘌呤二核苷酸磷酸(NADP)。在体内先合成去酰胺NAD,再接受谷氨酰胺提供的氨基成为NAD,再磷酸化则成为NADP。 NAD和NADP是脱氢辅酶,分别称为辅酶Ⅰ和辅酶Ⅱ。二者利用吡啶环的N1和N4可逆携带一个电子和一个氢原子,参与氧化还原反应。辅酶Ⅰ在分解代谢中广泛接受还原能力,最终传给呼吸链放出能量。辅酶Ⅱ则只从葡萄糖葡萄糖酸磷酸酯获得还原能力,用于还原性合成及羟化反应。需要尼克酰胺的酶多达百余种。 人体能用色氨酸合成尼克酸,但合成率极低(60:1),而且需要B1、B2、B6,所以仍需摄取。抗结核药异烟肼的结构与尼克酰胺类似,两者有拮抗作用,长期服用异烟肼时应注意补充尼克酰胺。花生、豆类、肉类和酵母中含量较高。 尼克酸或烟酸肌醇舒张血管的作用,可用于冠心病等,但可降低cAMP水平,使血糖尿酸升高,有诱发糖尿病痛风的风险。长期使用大量尼克酸可能损害肝脏。  

维生素B6[编辑 | 编辑源代码]

包括吡哆醇吡哆醛和吡哆胺3种,可互相转化。吡哆素是吡啶衍生物,活性形

水溶性维生素B6(吡哆胺)化学结构式

式是磷酸吡哆醛和磷酸吡哆胺,是转氨酶氨基酸脱羧酶的辅酶。磷酸吡哆醛的醛基作为底物氨基酸的结合部位,醛基的邻近羟基和对位氮原子还参与催化部位的构成。在转氨反应中,磷酸吡哆醛结合氨基酸,释放出相应的α酮酸,转变为磷酸吡哆胺,再结合α酮酸释放氨基酸,又变成磷酸吡哆醛。

缺乏V-B6可引起周边神经病变及高铁红细胞贫血症。因为5-羟色胺γ-氨基丁酸去甲肾上腺素神经递质的合成都需要V-B6(氨基酸脱羧反应),而血红素前体的合成也需要V-B6。肉、蛋、蔬菜、谷类中含量较多。新生婴儿易缺乏。

在蛋白质代谢中起重要作用。治疗神经衰弱眩晕动脉粥样硬化等。  

维生素B7[编辑 | 编辑源代码]

又称生物素,由杂环与戊酸侧链构成,又称维生素H,缺乏可引起皮炎。在生鸡蛋清中有抗生物素蛋白(avidin),能与生物素紧密结合,使其失去活性。

生物素侧链羧基可通过酰胺键与酶的赖氨酸残基相连。生物素是羧基载体,其N1可在耗能的情况下被二氧化碳羧化,再提供给受体,使之羧化。如丙酮酸羧化为草酰乙酸乙酰辅酶A羧化为丙二酰辅酶A等都由依赖生物素的羧化酶催化。

花生、蛋类、巧克力含量最高。  

维生素B11[编辑 | 编辑源代码]

又称维生素M,由蝶酸谷氨酸构成。活性形式是四氢叶酸(FH4),即蝶呤环被部分还原。四氢叶酸是多种一碳单位的载体,分子中的N5,N10可单独结合甲基、甲酰基、亚氨甲基,共同结合甲烯基和甲炔基。因此在嘌呤、嘧啶、胆碱和某些氨基酸(Met、Gly、Ser)的合成中起重要作用。缺乏叶酸则核酸合成障碍,快速分裂的细胞易受影响,可导致巨红细胞贫血(巨大而极易破碎)。

叶酸容易缺乏,特别是孕妇。叶酸分布广泛,肉类中含量丰富。苯巴比妥及口服避孕药等药物干扰叶酸吸收与代谢。  

维生素B12[编辑 | 编辑源代码]

又称钴胺素,是一个抗恶性贫血的维生素,存在于肝脏。分子中含钴和咕啉。咕啉类似卟啉,第六个配位可结合其他集团,产生各种钴胺素,包括与氢结合的氢钴胺素、与甲基结合的甲基钴胺素、与5’-脱氧腺苷结合的辅酶B12等。

一些依赖辅酶B12的酶类催化1,2迁移分子重排反应,即相邻碳原子上氢原子与某一基团的易位反应。例如在丙酸代谢中,催化甲基丙二酰辅酶A转变为琥珀酰辅酶A的变位酶就以辅酶B12为辅助因子。

甲基钴胺素可作为甲基载体,接受甲基四氢叶酸提供的甲基,用于合成甲硫氨酸。甲硫氨酸可作为通用甲基供体,参与多种分子的甲基化反应。因为甲基四氢叶酸只能通过这个反应放出甲基,所以缺乏钴胺素时叶酸代谢障碍,积累甲基四氢叶酸。缺乏钴胺素可导致巨红细胞贫血。

胃粘膜能分泌一种粘蛋白,可与V-B12结合,促进吸收,称为内因子。缺乏内因子时易被肠内细菌寄生虫夺去,造成缺乏。素食者也易缺乏。

脂肪肝,促进维生素A在肝中的贮存;促进细胞发育成熟和机体代谢;治疗恶性贫血。  

维生素C[编辑 | 编辑源代码]

又称抗坏血酸,是烯醇式L-古洛糖酸内酯,有较强的酸性。容易氧化,是强力抗氧化剂,也可作为氧化还原载体。

抗坏血酸还参与氨基酸的羟化。胶原脯氨酸和赖氨酸的羟化都需要抗坏血酸作为酶的辅因子。缺乏抗坏血酸会影响胶原合成及结缔组织功能,使毛细血管脆性增高,发生坏血病

肾上腺皮质激素的合成也需要V-C参加羟化。V-C可还原铁,促进其吸收;保护A、E及某些B族维生素免遭氧化。

连接骨骼、牙齿、结缔组织结构;对毛细血管壁的各个细胞间有粘合功能;增加抗体,增强抵抗力;促进红细胞成熟。  

其它维生素[编辑 | 编辑源代码]

维生素K:一类萘醌化合物,自然界共有两种:维生素K1叶绿醌)和维生素K2(甲基萘醌类)。主要作用:血液凝固作用。

维生素B13(乳酸清)。

维生素B15(潘氨酸)。主要用于抗脂肪肝,提高组织的氧气代谢率。有时用来治疗冠心病慢性酒精中毒

维生素B17。剧毒。有人认为有控制及预防癌症的作用。

对氨基苯甲酸。在维生素B族中属于最新发现的维生素之一。在人体内可合成。

肌醇。维生素B族中的一种,和胆碱一样是亲脂肪性的维生素。

维生素T。帮助血液的凝固和血小板的形成。

维生素U。治疗溃疡上有重要的作用。

参看[编辑 | 编辑源代码]