甲基化

来自医学百科

甲基化(Methylation)指向底物引入甲基的过程,一般是以甲基取代氢原子。

生物系统内,甲基化是经酶催化的,这种甲基化涉及重金属修饰、基因表达的调控、蛋白质功能的调节以及核糖核酸(RNA)加工。重金属修饰可以在生物系统外发生。组织样本的化学甲基化也是组织染色的方法之一。

生物甲基化[编辑 | 编辑源代码]

表观遗传学[编辑 | 编辑源代码]

表观遗传学的甲基化包括DNA甲基化或蛋白质甲基化。
1)DNA甲基化。脊椎动物的DNA甲基化一般发生在CpG位点胞嘧啶-磷酸-鸟嘌呤位点,即DNA序列中胞嘧啶后紧连鸟嘌呤的位点)。经DNA甲基转移酶催化胞嘧啶转化为5-甲基胞嘧啶。人类基因中约80%-90%的CpG位点已被甲基化,但是在某些特定区域,如富含胞嘧啶和鸟嘌呤的CpG岛则未被甲基化。这与包含所有广泛表达基因在内的56%的哺乳动物基因中的启动子有关。1%-2%的人类基因组是CpG群,并且CpG甲基化与转录活性成反比。

2)蛋白质甲基化。蛋白质甲基化一般指精氨酸赖氨酸在蛋白质序列中的甲基化。[1]精氨酸可以被甲基化一次(称为一甲基精氨酸)或两次(精氨酸甲基转移酶(PRMTs)将两个甲基同时转移到精氨酸多肽末端的同一个氮原子上成为非对称性甲基精氨酸,或者在每个氮端各加一个甲基成为对称性二甲基精氨酸)赖氨酸经赖氨酸转移酶催化可以甲基化一次、两次或三次。在组蛋白中,蛋白质甲基化是被研究最多的一类。在组蛋白转移酶的催化下,S-腺苷甲硫氨酸的甲基转移到组蛋白。某些组蛋白残基通过甲基化可以抑制或激活基因表达,从而形成为表观遗传[2][3]蛋白质甲基化是翻译后修饰的一种形式。

胚胎发育[编辑 | 编辑源代码]

生殖细胞发育的过程中基因组进行去甲基化,而体细胞中的染色体则保留了亲本甲基化模式。此后,个体的性基因组通过生殖细胞的重新甲基化进行遗传信息的修改和添加。[4]卵母细胞受精后形成合子,它的联合基因组进行去甲基化和重新甲基化(除了印迹基因)。通过囊胚阶段,胚胎干细胞的甲基化已完成。这种去甲基化/重新甲基化过程被称为“重新编程”。[5]甲基化在没有DNA甲基化转移酶的基因剔除突变中尤为重要,所有生成的胚胎会在囊胚时期死亡。[6]

出生后发育[编辑 | 编辑源代码]

越来越多的证据揭示,甲基化在环境因素和遗传表达交互作用间发挥重要作用。在小鼠刚出生的前6天里,不同的护理方式会诱导一些启动子区域不同的甲基化模式,从而影响基因的表达。[7]此外,如白细胞介素的信号传导等更动态的过程,也是通过甲基化来调控的。[8]人类研究证明重复高强度地激活人体的压力系统,尤其是在儿童早期,可以改变甲基化过程,并导致个体DNA的化学变化。这种化学改变能抑制基因并阻碍大脑应激反应的调节。研究人员和临床医生得出这种神经失调和慢性健康问题之间有关联,如抑郁症肥胖症高血压冠心病[9][10][11][12][13]

癌症[编辑 | 编辑源代码]

最近甲基化模式研究成为一个重要研究课题。研究发现正常组织中的基因甲基化主要集中于缺乏CpG的编码区;相反,基因启动子区域,尽管启动子区域中CpG岛的密度很高,基因却是未甲基化的。肿瘤的特点是甲基化失衡,即全基因组甲基化伴随局部甲基化和基因甲基化转移酶的表达增高。某些基因的甲基化状态可以被看做肿瘤生物标志物而加以利用。例如:谷胱甘肽S转移酶P1的甲基化被认为是一个很有前途的前列腺癌的诊断指标。[14] 在癌症中,遗传的动态性和表观遗传基因沉默有很大的不同。体细胞基因的突变阻碍了功能性蛋白从突变的等位基因中的表达。如果该细胞具备生存选择优势,其扩增克隆会导致所有的细胞都无法产生蛋白质从而导致肿瘤的产生。相比之下,表观遗传介导的基因沉默是逐渐发生的,从转录的微量减少开始,随异质基因的扩增和甲基化促进了CpG岛的保护功能受到损伤,这种损伤的结果是导致在不同细胞不同克隆的同一基因中多样化的单个CpG位点的逐步增加。[15]

细菌宿主防御[编辑 | 编辑源代码]

此外,腺苷或胞嘧啶的甲基化是许多细菌限制修饰系统的一部分。细菌的基因在整个基因组中定期进行甲基化。甲基化酶能识别某特定序列并进行甲基化。没有以这种方式进行甲基化的基因则被引入到细胞中被序列特异性限制内切酶所降解。而细菌基因组DNA则无法被这些限制性内切酶所识别。DNA甲基化作为一种原始免疫系统,使细菌保护自己免受噬菌体感染。在DNA多态性检测中,这些限制性内切酶是限制片段长度多态性(RFLP)测试的基础。

化学甲基化[编辑 | 编辑源代码]

碘甲烷甲基化羧酸盐和苯酚

在有机化学中甲基化指的是转移甲基(CH3)基团的烷基化过程。[16]此过程经常采用亲电子的甲基源,如碘甲烷、硫酸二甲酯、碳酸二甲酯,或较少使用但更强力(更危险)的甲基化试剂,如产生SN2亲核取代反应的三氟甲磺酸甲酯或氟磺酸甲酯。例如,羧酸盐可被氧甲基化得到甲基酯,醇盐盐RO−也可通过甲基化释放乙醚,ROCH3或酮的烯醇化物通过甲基碳而产生一个新的酮。

甲基锂甲基化丙酮

另一方面,可能使用亲核的甲基化合物进行甲基化,例如甲基锂 (CH3Li)或格氏试剂 (CH3MgX)。 例如,CH3Li可以与丙酮中的羰基(C=O)甲基化,并产生叔丁醇的锂盐:

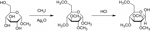
珀迪-欧文甲基化法[编辑 | 编辑源代码]

珀迪-欧文甲基化法

珀迪-欧文甲基化法是采用糖类与过量碘甲烷在氧化银存在的条件下发生彻底甲基化反应的一种特定甲基化方法。[17]

参考[编辑 | 编辑源代码]

  1. Posttranslational modification of proteins: expanding nature's inventory. Roberts and Co. Publishers, 2006.
  2. 模板:Cite doi
  3. 模板:Cite doi
  4. Introduction to genetic analysis. W.H. Freeman and CO, 2008.
  5. 模板:Cite doi
  6. 模板:Cite doi
  7. 模板:Cite doi
  8. 模板:Cite doi
  9. 模板:Cite doi
  10. 模板:Cite doi
  11. 模板:Cite doi
  12. 模板:Cite doi
  13. 模板:Cite doi
  14. 模板:Cite doi
  15. 模板:Cite doi
  16. March's advanced organic chemistry: reactions, mechanisms, and structure. Wiley, 2001.
  17. 模板:Cite doi

外部连结[编辑 | 编辑源代码]

模板:蛋白质一级结构

参考来源[编辑 | 编辑源代码]