性激素

来自医学百科
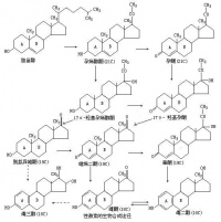
Bk4ip.jpg

性激素 sex hormone化学本质是脂质)是指由动物体的性腺,以及胎盘肾上腺皮质网状带等组织合成的甾体激素,具有促进性器官成熟、副性征发育及维持性功能等作用。雌性动物卵巢主要分泌两种性激素——雌激素孕激素,雄性动物睾丸主要分泌以睾酮为主的雄激素

性激素有共同的生物合成途径:以胆固醇前体,通过侧链的缩短,先产生21碳的孕酮或孕烯醇酮,继而去侧链后衍变为19碳的雄激素,再通过A环芳香化而生成18碳的雌激素(见图)。性激素的代谢失活途径也大致相同,即在肝、肾等代谢器官中形成葡萄糖醛酸酯或硫酸酯等水溶性较强的结合物,然后随尿排出,或随胆汁进入肠道由粪便排出。

性激素在分子水平上的作用方式,与其他甾体激素一样,进入细胞后与特定的受体蛋白结合,形成激素-受体复合物,然后结合于细胞核,作用于染色质,影响DNA的转录活动,导致新的、或增加已有的蛋白质的生物合成,从而调控细胞的代谢、生长或分化。  

性激素类药品列表[编辑 | 编辑源代码]

各论[编辑 | 编辑源代码]

1、雌激素

雌激素系甾体激素中独具苯环(A环芳香化)结构者,其中雌二醇(又称动情素或求偶素)的活性最强,主要合成于卵巢内卵泡的颗粒细胞,雌酮雌三醇为其代谢转化物。雌二醇的2-羟基及4-羟基衍生物也具有重要生理意义,自从1938年发现非甾体结构而具有类似雌二醇活性的化合物——乙酚(反式-4,4′-2羟基-α、β-二乙基)以来,已合成的类似物不下几千种,近来已发展到三苯乙烯衍生物,其中有的可作为雌激素代用品,也可作为抗雌激素,这些化合物具有类似雌二醇的空间构型,易于合成,除有一定临床应用价值外,也可为研究雌激素作用原理提供线索。然而其代谢规律不同于甾体化合物,整体效应复杂,使用时需慎重。

雌二醇的合成呈周期性变化,其有效浓度极低,在人和常用的实验动物如大鼠、狗等的血液中含量仅微微克/毫升。雌激素的靶组织子宫输卵管阴道垂体等。雌激素的主要作用在于维持和调控副性器官的功能。早年利用去卵巢的动物观察其副性器官变化,并与外源补充雌二醇的动物做比较,发现:在雌激素影响下,输卵管、子宫的活动增加,萎缩的子宫重新恢复,其腺体、基质肌肉部分都增生,子宫液增多,阴道表皮细胞增生,表面层角化等。现已发现不仅经典靶组织具有雌激素受体蛋白,许多重要的中枢或外周器官如下丘脑松果体肾上腺胸腺、胰脏、肝脏肾脏等也均有不同数量的受体或结合蛋白分子。外源雌激素可引起全身代谢的变化。大剂量的雌二醇可促进蛋白质合成代谢、减少碳水化合物的利用,在鸟类可引起高血脂高胆固醇,因此对脂肪代谢也有影响。此外,组织中雌二醇对水、盐分子的保留,钙平衡的维持也都有一定影响。雌激素在中枢神经系统性分化中也起重要作用,而且由于其2-羟基或4-羟基衍生物属于儿茶酚类化合物,与儿茶酚胺神经介质能竞争有关的酶系,从而相互制约、调控,形成了神经系统内分泌系统之间的桥梁。这方面的深入研究将可能有助于阐明性分化、性成熟、性行为及生殖功能的神经-内分泌调控机理。

各种形式的雌激素衍生物已广泛应用于避孕、治疗妇女更年期综合征、男子前列腺肥大症以及其他内分泌失调病等。

2、孕激素

孕酮是作用最强的孕激素,也称黄体酮,是许多甾体激素的前身物质(见图),系哺乳类卵巢的卵泡排卵后形成的黄体以及胎盘所分泌的激素。其主要功能在于使哺乳动物的副性器官作妊娠准备,是胚胎着床于子宫、并维持妊娠所不可少的激素。孕激素的分布很广,非哺乳动物如鸟类、鲨鱼、肺鱼、海星及墨鱼等卵巢中也有孕激素合成。如鸟类输卵管卵白蛋白的生成即受孕酮激活。

孕激素和雌激素在机体内的联合作用,保证了月经与妊娠过程的正常进行。雌激素促使子宫内膜增厚、内膜血管增生。排卵后,黄体所分泌的孕激素作用于已受雌二醇初步激活的子宫及乳腺,使子宫肌层的收缩减弱、内膜的腺体、血管及上皮组织增生,并呈现分泌性改变。孕激素使已具发达管道的乳腺腺泡增生。这些作用也依赖于细胞质中的孕酮受体,而雌二醇对孕酮受体的合成具有诱导作用。孕激素在高等动物体内的其他作用不多,已知大剂量的孕酮可引起雄性反应,药理剂量的孕酮还可对垂体的促性激素分泌起抑制作用,避孕药中所含孕激素的抑制排卵效应,就是对促性腺激素起抑制作用的结果。

3、雄激素

睾丸、卵巢及肾上腺均可分泌雄激素。睾酮是睾丸分泌的最重要的雄激素。雄激素作用于雄性副性器官如前列腺、精囊等,促进其生长并维持其功能,也是维持雄性副性征所不可少的激素:如家禽的冠、鸟类的羽毛、反刍动物的角以及人类的须发、喉结等。雄激素还具有促进全身合成代谢,加强氮的贮留等功能,这在肝脏和肾脏尤为显著。

雄激素在动物界分布广泛,系19碳甾体化合物,已有大量人工合成的雄激素,包括酯化、甲氧基化或氟取代的衍生物,或便于口服或具较强的促合成代谢功能,可应用于临床。

雄激素的分泌不象雌激素,无明显的周期性,然而也与垂体促性激素形成反馈关系,睾酮是在血液中运转、负责反馈作用的形式,但在细胞水平起作用时,睾酮常需转化成双氢睾酮,后者与受体蛋白结合的亲和力高于睾酮,雄激素在细胞水平如下丘脑等组织中的另一转化方式是A环的芳香化而形成雌激素,致使某些动物的睾丸中雌激素含量甚高。这种转化在中枢神经系统中已经证明与脑的性分化有重要关系。

参考[编辑 | 编辑源代码]