医院药学/枸橼酸盐

来自医学百科

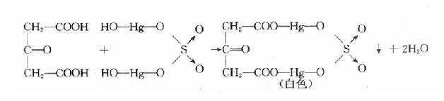
(1)取供试品溶液,加稀硫酸1滴,加热至沸,加高锰酸钾试液数滴,振摇,紫色即消失,加硫酸汞试液1滴,发生白色沉淀。

Gp1gfdbs.jpg


Gp1gfhhq.jpg

(2)取供试品的中性溶液,加过量的氯化钙试液,冷时无变化,煮沸,即产生白色的颗粒的性沉淀,能在醋酸稀酸中溶解,但在氢氧化钠中不溶。

Gp1gfmhk.jpg

(3)取供试品的的中性溶液,加过量的硝酸银试液,即产生白色沉淀,;能中硝酸或氨试液中溶解,取氧性溶液置试管中,加热,管壁不显银镜。

Gp1gfqsw.jpg

参看[编辑 | 编辑源代码]