医院药学/中草药化学成分一般鉴别方法

来自医学百科

蛋白质多肽氨基酸

(1)加热或矿酸试验:取检品的水溶液1ml于试管中,加热至沸或加5%盐酸,如发生混浊或有沉淀示含有水溶性蛋白质。

(2)缩二脲试验:取检品的水溶液1ml,加10%氧化钠溶液2滴,充分摇匀,逐渐加入硫酸铜试液,随加摇匀,注意观察,如呈现紫色或紫红色示可能含有蛋白质和氨基酸。

凡蛋白质结构中含有两个或两个以上肽键(-CONH-)者均有此反应,能在碱性溶液中与Cu2+生成仙络合物,呈现一系列的颜色反应,二肽呈蓝色,三肽呈紫色,加肽以上呈红色,肽键越多颜色越红。

Goz9k0t7.jpg

(3)茚三酮试验,取检品的水溶液1ml,加入茚三酮试液2-3滴,加热煮沸4-5分钟,待其冷却,呈现红色棕色或蓝紫色(蛋白质、胨类、肽类及氨基酸)。

α氨基酸与茚三酮的水合作物作用,氨其酸氧化成醛、氨和二氧化碳,而茚三酮被还原成仲醇,与所后成的氨及另一分子茚三酮缩合生成有蓝紫色的化合物

Goz9jhny.jpg

【注】①茚三酮试剂主要是多肽和氨基酸的显色剂,反应在1小时内稳定。试剂溶液pH值以5-7为宜,必要时可加吡啶数滴或醋酸钠调整。

②此反应非常灵敏,但有个别氨基酸不能呈紫色,而呈黄色,如脯氨酸

(4)氨基酸薄层层析检出反应:

吸附剂硅胶G。

展开剂:(1)正丁醇:水(1:1)(2)正丁醇:醋酸:水(4:1:5)

③显色剂:0.5%茚三酮丙酮溶液,喷雾后于1100烘箱放置5分钟,显蓝紫允或紫色。

2.皂甙

(1)泡沫试验:取检品的水溶液2ml于带塞试管中,用力振摇3分钟,即产生持久性蜂窝状泡沫(维持10分钟以上),且泡沫量不少于液体体积的1/3。

【注】常用的增溶剂吐温司盘,振摇时均能产生持久性泡沫,要注意区别。

(2)溶血试验:取试管4支,分别加入滤液0.25、0.5、0.75 ml,然后依次分别加入生理盐水2.25、2.0、1.75、1.5 ml,使每一个试管中的溶液都成为2.5ml, 再将各试管加入2%的血细胞悬液2.5ml,振摇均匀后,同置于370水浴或25-270的室温中注意观察溶血情况,一般观察3小时即可,或先滴红细胞显微镜下,然后滴加检液看血细胞是否消失。如有溶血现象示正反应。

【注】①鞣质对血红细胞凝集作用,干扰溶血试验的观察,应事先除去(可用取胜酰胺粉吸附或用明胶沉淀)。

②检液应为中性溶液。

(3)醋酐浓硫酸试验(Liebrmann Burchard反应)取检品的水溶液置蒸发皿中,于水浴上蒸干,残渣加入少量冰醋酸使溶解,再加入醋酐浓硫酸(19:1)试液,呈现红紫色并变成污色绿色(甾类三萜类成分或皂甙)

(4)区别甾体皂甙和三萜皂甙:取带塞试管两支,各盛检品的水溶解1 ml,1支加0.1N盐酸溶液2ml,另一支加0.1N氢氧化钠溶液2ml用力振摇1分钟(需左右手交替振摇各半分钟),观察两管泡沫的多少,若两管泡沫体积相同或酸管多,示含三萜式皂甙;若加碱管泡沫多于加酸管示含甾示含甾体皂甙。

三萜皂甙为酸性皂甙在酸性水溶液中形成较稳定的泡沫;甾体皂甙为中性皂甙在碱笥溶液中能形成较稳定的泡沫。

3.糖、多糖或甙类

(1)碱性酒石酸铜试液:取检品的水溶液1-2ml(如为醇溶液须将醇蒸发除去),加入碱笥酒石酸铜试液1ml,于沸水浴上加热5分钟,产生棕红色或砖红色氧化亚铜沉淀,示有还原糖。

还原糖能使二价铜盐(蓝色)还原成氧化亚铜,醛糖的醛基氧化成羧基:

Goz9jur6.jpg

【注】①如检液呈酸性,应先碱化

②此反应所产生的沉淀由于条件不同,其颜色也不同,质点上的呈黄色,质点大的呈红色。有保持性胶体存在时,也常产生黄色沉淀。

③职样品中含有其他醛、酮及还原较强的其他成分,或中划药制剂中附加的抗氧剂、;葡萄糖等均可显阳性反应。

(2)α萘酚试验(Molisch紫环反应):取检品的水溶液1ml,加5%萘酚试液数滴振摇后,沿管壁滴入5-6滴浓硫酸,使成两液层,待2-3分钟后,两层液面出现紫红色环(糖、多糖或甙类)。

多糖类遇浓硫酸被水解成单糖,单糖被浓硫酸脱水闭环,形成糠醛类化合物,在浓硫酸存在下与α萘酚发生酚醛缩合反应,生成紫红色缩合物。

Goz9k6rs.jpg

【注】①甙的分子结构中含有糖基,一般属于单糖类,如葡萄糖,鼠李糖半乳糖,但也有含二分子糖(双糖)或多分子糖(多糖)。在上述反应条件下,甙被水解成单糖,因此甙萘酚试验,系分子中糖部分的反应。

②由于此反应较为灵敏,如有微量滤纸纤维中草药粉末存在于溶液中,都能产生上述反应。故滤过时应加注意。

(3)多糖的确证试验:取检品的水溶液5ml于水 蒸发至干,加入1ml蒸馏水,再加入乙醇5ml,如出现沉淀,滤过收集后用少量热乙醇洗涤,再将沉淀物溶于3ml蒸馏水中,做下例试验。

①碘试验:取检品的不溶液1ml,加碘试液1滴,观察颜色变化,如呈蓝黑色为地衣糖;紫黑色为糊精;蓝色加热消失,冷后蓝色再现为淀粉

②多糖水解:取检品的水溶液1ml,加入稀盐酸5滴,置沸水浴中加热10-15分钟,然后用10%氢氧化钠液中和至中性,再加新配制的碱性酒石酸铜试淮4滴,另取检液1ml,不加酸水解直接加入上述试液4滴,两管同置水浴上煮沸5-6分钟。如果水解后生成棕红色常常物的量比未经水解的多,则示有多糖。

多糖水解后产生单糖,利用单糖的还原性,使铜离子还原成氧化亚铜。

4.鞣质及酚类

(1)三氯化铁试验:取检品的水溶液1ml,加三氯化铁试液1-2滴,呈现绿色、污绿色、蓝黑色或暗紫色(可水解鞣质显蓝一蓝黑色,缩合鞣 显绿色一污绿色)。

鞣质均是多羟基酚的衍生物,即多元酚,能和三价铁离子发生颜色反应生成复杂的络盐。

【注】此反应如遇有矿酸或有机酸、醋酸盐等存在,能阻碍颜色的生成。硝基酚类对三氯化铁试剂无明显反应。

(2)明胶试验:取检品的水溶液1ml,加氯化钠明溶液2-3滴,即生成白色沉淀物。

鞣质有凝固蛋白的性能。

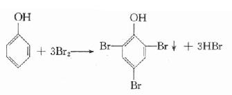
(3)溴试验:取检品的水溶液1ml,加溴试液1-2滴,生成白色或沉淀物,示可能含有酚或儿茶酚鞣质。

Goz9jqqa.jpg

【注】过多的溴会阻碍鞣质的沉淀,因此溴水不宜多加。

(4)香草醛一酸试验:取检品的水溶液点于滤纸片上,干后,喷雾或滴加香草醛一盐酸试液,呈现红色斑点(多元酚类物质)。

(5)鞣质、酚类薄层层析检出反应:

①吸附剂:聚酰胺;硅胶;硅胶;石膏:水(5:1:7)调成状,涂成薄板,1050烘干45分钟。

②展开剂:乙醇:醋酸(100:2);正丁醇:乙酸乙酯:水(5:4:1);苯:甲醇(95:5)。

③显色剂:10%三氯化铁溶液;1%三氯化铁乙醇溶液与1%铁氰化钾水溶液(1:1)显蓝一紫色斑点。

5.黄酮及其甙类

(1)盐酸一镁(或锌)粉试验:取检品的乙醇溶液1ml,加放少量镁粉(或锌粉),然后加浓盐酸4-5滴,置沸水浴中加热2-3分钟,如出现红色示有游离黄酮类或黄酮甙(以同法不加镁或粉做一对照,如两管都显红色则有花色素存在。如继续加碳酸试液使成碱笥即变成紫色双转变为蓝色,即证明含花色素)。

黄酮类的乙醇溶液,在盐酸存在的情况下,能被镁粉还原,生成花色甙元而呈现红色或紫色反应(个别为淡黄色、橙色、紫色或蓝色)。这是由于酮类化合物分子中含有一个碱性氧原子,致能溶于稀酸中被还原成带四价的氧原子即锌盐。本法是鉴别黄酮类的一个反应。但花色素本身在酸性下(不需加镁粉)呈红色,应加以区别。

【注】①此反庆仅在化学结构中,第三位上带羟基的酮醇类显色较明显,而其它黄酮烷酮类均不甚明显。因此试验呈阴性反庆是不能做出否定的结论,尚需结合其他实验再做结论。

②试验应在醇中进行,水分多会影响颜色的生成。此反庆较慢,有时需置水浴上加热,以促使反应的进行。

(2)荧光试验:

①三氯化铝试验:取检品的乙醇溶液点于滤纸片上(干后再点1次,使其浓度庥中),干后,喷雾1%三氯化铝乙醇试液,在紫外光灯下观察,呈现黄色、绿色、橙色等荧光为黄酮类;呈现天蓝色或黄绿色;荧光,则为二氢黄酮类。这是区别二氢黄酮类化合物的一种鉴别反应。

硼酸丙酮枸橼酸丙酮试验:取检品的乙醇溶液1ml,在沸水浴上蒸干加入饱和硼酸丙酮溶液及10%枸橼酸丙酮溶液各0.5ml,蒸去丙酮后,在紫外光灯下观察,管内呈现强烈的绿色荧光(黄酮或其甙类)。

(3)碱液试验:取检品的乙醇溶液点于滤纸片上(干后,再点一次,使其溶液集中),干后,喷1%碳酸钠溶液或在氨蒸气中熏几分钟,呈现亮黄、绿或橙黄色。如将氨气熏过的滤纸露置空气中,颜色逐渐裉去而变为原有的颜色(黄酮或其甙类)。

试剂

NH3

AICI3

Na2CO3

光线

ViS.

U.V

ViS.

U.V

ViS.

U.V

ViS.

U.V

黄酮

淡黄

暗棕、红棕、黄棕

亮黄

淡黄

亮黄

黄酮醇

淡黄

亮黄、黄绿、棕

亮黄、黄绿、绿

黄、黄棕、暗蓝

异黄酮

无色

淡黄、紫

无色

淡黄、紫

无色

淡绿

儿茶

无色

无色

无色

淡蓝黑

无色

二氢黄酮

无色

无色**

无色

无色、淡黄、淡绿

无色

淡黄、绿

花色甙

红、橙紫

深红、橙紫、淡棕

暗蓝

查耳酮

棕、黑、黄棕

黄、橙、红

橙、红、紫黑

黄、橙

*、棕、红

橙、蓝红

    *示有荧光**示在短波紫外线光下为黑色ViS. 系可风光U.V系紫外光

6.蒽醌及其甙类 取检品的乙醇溶液10ml,蒸去乙醇,残渣加5%氢氧化钠溶液2-3ml,在沸水中加15分钟,冷后滤过,滤液加稀盐酸酸化,加乙醚提取,取乙醚提取液做下列检查:

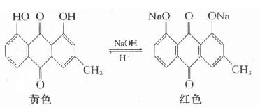
(1)碱液试验:取上述乙醚溶液,加等量1%氢氧化钠溶液,摇匀,水层呈现红色,加入少许3%过氧化氢溶液,在沸水浴中加热4分钟,红色不裉,当加酸酸化后,红色消失。加碱碱化后红色又出现(蒽醌类化合物反应)。

1,8一二羟基蒽醌的酚羟基遇氢氧化钠生成钠盐,而呈现红色,遇酸显黄色。

Goz9khd4.jpg

【注】蒽醌和二蒽酮与碱液不显红色,只呈黄色,但以氧化羟基蒽醌后遇碱即显红色。

(2)醋酸镁试验:取上述醚溶液1ml,蒸去乙醚,残渣加入乙醇1ml溶解,加入1%醋酸镁甲醇溶液3滴,显红色(如显橙黄色可能为二氢蒽醌)。

Goz9khd4.jpg


羟基蒽醌类与醋酸镁甲醇溶液反应可显橙、红、蓝、紫等色,产生这些颜色的必要投机倒把至少有一个α位羟基。加羟基的位置不同,产生的颜色也不同。一般在同一苯环上有两个α羟基者显紫红色或蓝色;如同一苯环在有两个邻位的羟基,一个α位,一个β位,显紫色或紫锴。其他α羟基蒽醌一般呈橙至红色。因此这一颜色反应仅可作蒽醌的检只识用,而且还可初步判断羟的基的位置。

【注】醋酸镁试验亦可用滤纸斑点显色法进行。

(3)蒽醌薄微量检出反应:

①吸附剂:硅胶;中性氧化铝(Ⅲ级);硅胶G湿法制板。

②展开剂:苯:醋酸(6:3)石油醚:丙酮:水(5:3:3:5);苯甲酸酯:甲酸(74:24:1)。

③显色剂;5%氢氧化钠液(显红色);1%醋酸镁甲醇溶液(显黄色)。

此外亦可在紫外灯光下观察荧光。

7.强心甙

(1)3,5一二硝基苯甲酸试验(Kedde’s反应):取检品的乙醇溶液2 ml,加3,5一一硝基苯甲酸试液3-4滴再加10%氢氧化钠溶液2滴,呈现红色或紫红色(9为α、β不饱和内酯环强心甙的反应)。

(2)碱性苦味酸试验:取检品的醇溶液1ml,显橙色或橙红色(此反应常在15分钟后,显色最明显)。

(3)亚硝酰铁氰化钠试验(Legal反应):取检品的醇溶液1ml,蒸去溶剂,放冷后,加吡啶 少许使残渣溶解,加0.5%亚铁试液4-6滴,摇匀,再加入10%氢氧化钠1-2滴,即显红色并逐渐消失(为检查强心甙元的反应)。

(4)三氯化铁水醋酸试验(Keller反应):取检品的乙醇溶液2ml,蒸去溶剂,残渣加0.5%三氯化铁冰醋酸溶液1ml,使溶解后,沿试管壁加入浓硫酸1ml,在两液界面显红棕色环,继则变为浅绿、蓝色,而冰醋酸层显蓝色,示含α去氧糖强心甙。

(5)醋酐一浓硫本试验(Liebirman Barchard 反应):取检品的乙醇溶液2 ml,置蒸发皿中,于水浴上蒸干,残渣加冰醋酸1ml使溶解,再加入醋酐一浓硫酸(19:1)数滴,呈现黄→红→蓝→紫→污绿色,并逐渐裉色。因颜色变化很快,须注意观察(为检查强心甙分子结构中甾体母核的反应)。

【注】①试验1,2,3,的反应,均系在较强的碱性条件下进行,当有蒽醌存在时,须先将检液置水浴上蒸去乙醇,再加乙醚适量,用1%氢氧化钠溶液反复萃除蒽醌(弃去红色碱液),然后将乙醚溶液于水浴上蒸去乙醚 ,残渣再用乙醇溶解后,供试验用,以免干扰。

②试验4的反应仅对游离的去氧糖和结合的甙呈正反应。但当α去氧糖与葡萄糖等其他糖结合的多,如不水解则为负反应。

③上述鉴别反应均呈阳性,可判断为强心甙。

8.内酯、香豆精及其甙类:取检品的乙醇溶液10m1,加5%盐酸溶液10,在沸水浴 中热15-20分钟,冷后,加苯提取将苯提取液于水浴上蒸干(避火),残渣加适量乙醇溶解后,供做下列检查:

(1)异羟肟酸铁试验:取上检液2ml,加盐酸羟试液2滴,10%氢氧化钾的甲醇溶液2滴,在水浴上微热,冷却,用稀盐酸酸化,加入15三氯化铁试剂液1-2滴,显紫色苛橙红色。

内酯及香豆素类在碱性条件下,与羟反应生成异羟肟酸,与铁盐络合而显色。

(2)内酯试验:取上检液2ml,加1%氢氯化钠溶液2m1,在沸水浴中加热3-5分钟,如溶液较前澄明,加酸酸化后又变混浊为正反应。

内酯化合物在热碱溶液中,开环成盐而溶于水,酸化则重新闭环,而出内酯化合物,溶液即变混浊。

Goz9kdcq.jpg

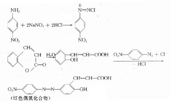
(3)重氮化反应:取上检液1ml,加等体积3%碳酸钠溶液,在沸水浴中加热3-4分钟,冷后,加入新配制的重氮化试剂1-2滴,即显红色。

Goz9jlxq.jpg

(4)荧光反应:取上检液点于滤纸上(干后,再点1次,以集中浓度),在紫外光灯下观察,如为羟基香豆精应呈现蓝色荧光,熏氨蒸气后变为黄绿色荧光。呋喃香豆精应呈现蓝色或黄棕色的荧光。

9.树脂类 取检品的乙醇溶液1ml,加1-2%氢氧化钠溶液2-3ml,显浑浊或沉淀,在水浴上加3-5分钟,溶液变清或沉淀减少,加酸酸化则又浑浊或沉淀,示含有酸性树脂。如在上项反太中,当加碱加热后,溶液仍浑浊示含有中性树脂。

因酸性树脂能溶于碱液中,加热后就成澄明液。中性树脂则不溶于碱性溶液中,故溶液仍显浑浊。

10.生物碱 取检品的酸性乙醇溶液20ml,调节pH值至6-7,蒸发除去乙醇,残渣加5%盐酸溶液4-5ml溶解,滤过,滤液供下列检查:

(1)碘化铋钾试液1ml,加碘化铋钾试液1-2滴,生成黄色或橘红色沉淀。

AIK+BiI3.KI→AIK.BiI3.KI↓

(生物碱)(碘化铋钾) (桔红色)

(2)碘化汞试验:取滤液1ml加碘化汞钾试液1-2滴,生成白色淡黄色沉淀物。

AIK+KI.HgI2→AIK.KI.HgI2

若在过量的试剂中其沉淀又复溶解。

(3)碘一碘化钾试验:取滤液ml,加碘化一碘化钾试液1-2滴,出现棕色沉淀或混浊。

(4)硅钨酸试验:取滤液1m1,加硅钨酸试液1-2滴,生成灰白色或淡黄色沉淀。加热可使反应灵敏。

(5)生物碱呈色反应:

生物碱名称

呈色反应

生物碱名称

呈色反应

甲醛硫酸试液

钼酸铵一硫酸试液

吗啡

阿扑吗啡

可待因

狄奥宁

罂粟碱

马钱子碱

紫→深紫

紫堇→蓝

紫蓝→蓝

紫堇→蓝

深红→棕

红橙

紫→棕绿

紫堇→绿

绿→蓝

绿→蓝

紫堇→绿

红紫

秋水仙碱

毒扁豆碱

阿托品

麻黄素

乌头碱

那可汀

紫堇→橙

紫→褐

绿

绿→红黄

11.有机酸

(1)溴酚蓝试验:取检品的酸性乙醇溶液点于滤纸,干后,喷雾0.1%溴酚蓝乙醇溶液(70%乙醇),立即在蓝色背景中显黄色斑点。如不明显,可喷雾氨水,然后暴露在盐酸气体中,背景逐渐由蓝色变为黄色,而有机酸的斑点仍然为蓝色。

(2)酸碱度试验:取检品液(水提取液)以pH试纸检查,如试纸颜色指示pH在7以下,可能含有有机酸。

(3)纸层析检出试验:见纸层析操作方法。

①支持剂:新华滤纸(中速)

②展开剂:正丁醇:醋酸:水(4:1:5)。

③显色剂:0.15溴酚蓝乙醇溶液(70%乙醇)。

结果:呈现蓝色斑点。

12.挥发渍及油脂

(1)取检品的乙醚溶液,置蒸发皿中,待溶剂挥发生,残渣为油状物,并有香气或特异自气,加热,油状物减少或消失示含挥发油。如无香气,或加状物不减少,可能为油脂,可于残渣中加入少许无水硫酸钠颗粒,直火加热,如产生气泡,并有剌激性特臭的浓白色气体(丙烯醛),示含油脂类化合物。

(2)取检品的乙醚溶液,点在滤纸上,待溶剂挥发生,喷雾0.05%荧光素钠溶液,再将滤纸下置碘蒸气上,熏几分钟,产生黄或黄绿色斑点,背景为粉红色示含挥发油。

(3)取检品的乙醇溶液,置白瓷皿中,待溶剂挥发生,残渣中加1%香草醛盐酸液,显黄色、红、棕、蓝、紫等颜色,示含挥发油。

(4)挥发油薄层微量检出反应:

①吸附剂:硅胶G(湿法制板);中性氧化铝:石膏:水(5:1:7)。

②展开剂:正已烷:乙酸乙酯(85:15);石油醚:乙酸乙酯(85:15)。

③显色剂:含5%香草醛的浓硫酸液(临用新配)1050烘2-10分钟;荧光照射;浓硫酸。

【注】香草醛化学名为3甲氧基4羟基苯甲醛