预防医学/离散趋势指标

来自医学百科

计量资料的频数分布有集中趋势和离散趋势两个主要特征,只有把两者结合起来,才能全面地认识事物,通过例18.8可进一步说明这一问题。

例18.8 有3组同龄男孩体重(kg)如下,其平均体重x都是30(kg),试分析其离散趋势。

甲组 26 28 30 32 34
乙组 24 27 30 33 36
丙组 26 29 30 31 34

虽然三组资料的均数相等,即集中趋势相同,但各组内数据参差不齐的程度(变异度)不同,也就是说三组的离散趋势不同。

描述一组同质计量资料离散趋势的常用指标有全、四分位数间距方差标准差,其中方差和标准差最常用。

一、全距(range)[编辑 | 编辑源代码]

亦称极差,用R表示。全距是一组观察值中最大值与最小值之差,用于反映个体变异范围的大小。全距大,说明变异度大;反之,说明变异度小。如例18.8中乙组全距为12(kg),比甲、丙两组8(kg)大,表明乙组变异度大。全距适用于任何分布的计量资料(末端无确切数值者除外)。

用全距来表达变异度的大小,简单明了,故曾广为使用。但它不能反映组内所有数据的变异度,如上述甲、丙两组变异度的差异就反映不出来;其更大的缺点是易受个别特大或特小数值的影响,往往样本越大,全距亦会越大。

二、四分位数间距(quartile interval)[编辑 | 编辑源代码]

四分位数间距是上四分位数Qu(即P75)与下四位数QL(即P25)之差,其间包括了全部观察值的一半,用Q表示。它和极差类似,数值越大,说明变异越大;反之,说明变异越小。四分位数间距比极差稳定,但仍未考虑到每个观察值的变异度。它适用于偏态分布资料,特别是分布末端无确定数据不能计算全距、方差和标准差的资料。

例18.9 求表18-4中数据的四分位数间距。

QL=P25=12+12/58(164×25%-25)=15.3(小时)

Qu=P75=24+12/40(164×75%-83)=36.0(小时)

Q=Qu-QL=P75-P25=20.7(小时)

三、方差(variance)和标准差(standard deviation)[编辑 | 编辑源代码]

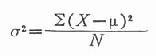
为了克服极差的缺点,需全面地考虑组内每个观察值的离散情况。因为组内每一观察值(亦称变量值)与总体均数的距离大小都会影响总体的变异度,故有人提出以各变量值离均差(X-μ)的平方和除以变量值的总个数N,来反映变异度大小,称为总体方差,用σ2示之。

Gum5ne97.jpg 公式(18.10)

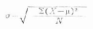
由式可见,各个离均差平方后,原来的度量单位变成了平方单位。为了用原单位表示而将总体方差开方,称为总体标准差。

Gum5mug4.jpg 公式(18.11)

以上是总体方差和标准差。实际工作中经常得到的是样本资料,μ是未知的,只能用样本均数x来代替μ,用样本含量n代替N,按公式(18.11)算得的标准差常比σ小,美国统计学家W.S.Gosset提出用n-1代替n,求得样本标准差s,即

Gum5n1mx.jpg 公式(18.12)

式中的n-1,在统计学上称为自由度(degree of freedom)

数学上可以证明离均差平方和Σ(X-x)2=ΣX2-(ΣX)2/n,故公式(18.2)可演变为:

直接法Gum5mwsz.jpg 公式(18.13)

加权法Gum5mz81.jpg 公式(18.14)

方差与标准差适用于对称分布,特别是正态或近似正态分布资料。

例18.10 试分别计算例18.8中组男孩体重资料的标准差。

甲组:n=5,ΣX=26=28+30+32+34=150

ΣX2=262+282+302+322+342=4540

按式(18.13)

Gum5n69t.jpg


乙组:n=5,ΣX=150,ΣX2=4590

Gum5n3w2.jpg


丙组:n=5,ΣX=150,ΣX2=4534

Gum5n8p2.jpg


以上计算表明:S丙<S甲<S乙亦即乙组的变量度最大,甲组次之,丙组最小。

例18.11 求表18-2中110名20岁健康男大学生身高的标准差。

由表18-2,已知Σf=110,ΣfX=19000,再用第(2)栏乘第(4)栏后相加得ΣfX2。如本例,ΣfX2=163×163+165×660+……+183×366=3283646代入式(18.14)

Gum5nbpy.jpg


四、标准差的应用[编辑 | 编辑源代码]

(一)表示观察值的变异程度(或离散程度

1.在两组(或几组)资料均数相近、度量单位相同的条件下,标准差大,表示观察值的变异度大,即各观察值离均数较远,均数的代表性较差;反之,表示各观察值多集中在均数周围,均数的代表性较好。

2.若比较度量单位不同或均数相差悬殊的两组(或几组)观察值的变异度时,需计算变异系数(coefficient ofvariation用CV表示)进行比较,其计算公式为:

CV= s/x×100% 公式(18.15) 公式(18.15)

式中s为样本标准差,x为样本均数。

例18.12 某地调查20岁男大学生110名,其身高均数为172.73(cm),标准差为4.09(cm);其体重均数为55.04(kg),标准差为4.10(kg),欲比较两者变异度何者为大,宜先计算变异系数再比较。

身高CV=4.09/172.73×100%=2.37%

体重CV=4.10/55.04×100%=7.45%

由此可见,该地20名男大学生体重的变异度大于身高的变异度,说明身高这个指标比较稳定。

(二)结合均数描述正态分布的特征和估计医学正常值范围,详见第三节。

(三)结合样本含量n计算标准误,详见第十九章。