预防医学/两组资料的比较
来自医学百科
两组资料的比较亦称成组资料的比较。这里介绍两样本秩和检验(Wilcoxon,Mann and Whitney法)。秩和和检验(rank sumtest)的步骤见例21.2。
例21.2测得铅作业与非铅作业工人的血铅值(μmol/L),问两组工人的血铅值有无差别?
表21-3 两组工人血铅值(μmol/L)的比较
| 铅作业组 | 非铅作业组 | ||
| 血铅值 | 秩次 | 血铅组 | 秩次 |
| 0.82 | 9 | 0.24 | 1 |
| 0.87 | 10.5 | 0.24 | 2 |
| 0.97 | 12 | 0.29 | 3 |
| 1.21 | 14 | 0.33 | 4 |
| 1.64 | 15 | 0.44 | 5 |
| 2.08 | 16 | 0.58 | 6 |
| 2.13 | 17 | 0.63 | 7 |
| 0.72 | 8 | ||
| 0.87 | 10.5 | ||
| 1.01 | 13 | ||
| n1=7 | T=93.5 | n2=10 | 59.5 |
(一)建立假设
H0:两组工人血铅值的总体分布相同
H1:两组工人血铅值的总体分布不同
α=0.05
(二)编秩
将两组数据分别由小到大排列,并统一编秩,不同组的相同数据取其平均秩次,如表21-3中铅作业组与非铅作业组各有一个,应编秩10、11,其平均秩次为(10+11)/2=10.5。
(三)求T
当两样本含量不等时,取较小样本的秩和T;当样本含量相等时,可任取一组的秩和T,本例n1=7,n2=10,则T=93.5。
(四)计算T´
按T´=n1(n1+n2+1)-T计算T´值,本例T´=7(7+10+1)-93.5=32.5
(五)确定P值,作出推论
1.查表法 n1≤15,n2≤28时查附表21-2等级总和数临界值。以T和T´中较小者与附表21-2数值比较,如大于表中界值时,其P值小地或等于相应的概率。如小于或等于表中界值时,其P值小于或等于相应的概率。本例T=93.5,T´=32.5,n1=7,n2=10,查附表21-2,得P0.01=37,今T´=32.5<37,P<0.01,按α=0.05检验水准拒绝H0,可认为铅作业工人与非铅作业工人血铅值的总体分布不同,铅作业工人的血铅值高于非铅作业工人的血铅值。
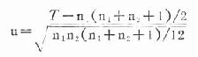
2.正态近似法 n1、n2超出附表21-2时,按公式(21.3)计算u值。
公式(21.3)
因统计量为u,按表19-3所示关系作出判断。