鞘氨醇
来自医学百科
模板:Chembox IUPACName模板:Chembox Elements
| 鞘氨醇 | |
|---|---|
| Sphingosine | |
| 识别 | |
| CAS号 | 123-78-4 |
| PubChem | 1104 |
| SMILES |
|
| 性质 | |
| 若非注明,所有数据均出自一般条件(25 ℃,100 kPa)下。 | |
鞘氨醇(Sphingosine)又称神经鞘氨醇,学名2-氨基-4-十八烯-1,3-二醇,是一种含有不饱和烃基链的十八碳氨基醇。鞘氨醇属于鞘脂类,为细胞膜组成成分之一。
功能[编辑 | 编辑源代码]
鞘氨醇在体内可在两种激酶——鞘氨醇激酶1和鞘氨醇激酶2的催化下被磷酸化产生鞘氨醇-1-磷酸,后者是一种有力的信号脂类分子。
鞘脂的代谢物如神经酰胺、鞘氨醇与鞘氨醇-1-磷酸,均为信号脂类分子,参与多种细胞过程。
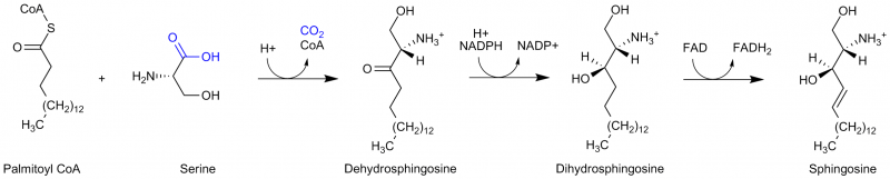
生物合成[编辑 | 编辑源代码]
然后脱氢鞘氨醇被NADPH还原为二氢鞘氨醇,后者再被FAD氧化为鞘氨醇。
参考资料[编辑 | 编辑源代码]
- 模板:Cite journal en article
- Carter, H. E., F. J. Glick, W. P. Norris, and G. E. Phillips. 1947. Biochemistry of the sphingolipides. III. Structure of sphingosine. J. Biol. Chem. 170: 285–295
图片[编辑 | 编辑源代码]
- 生成缩略图出错:无法创建临时缩略图文件
鞘脂贮积病