营养学/维生素B1

来自医学百科

5.6.1 结构与性质

维生素B1又称硫胺素(Thiamine VB1),在室温下与中性亚硫酸钠溶液中分解嘧啶噻唑两部分(图5-10)。它与焦磷酸生成硫胺素焦磷酸(Thiamine pyrophosphate,TPP),即羧化辅酶(cocarboxylase),这个反应需要ATP参加,结构式见图5-11。TPP参与糖代谢中α酮酸的氧化脱羧作用。

维生素B1经Na2SO3分解为嘧啶和噻唑


图5-10 维生素B1经Na2SO3分解为嘧啶和噻唑

羧化辅酶(TPP)的结构式


图5-11 羧化辅酶(TPP)的结构式

硫色素分子式


图5-12 硫色素分子式

维生素B1盐酸盐1g先溶于1ml水中,可在酒精中形成1%溶液,不溶于其他有机溶媒中。PH7时水溶液的紫外线吸收高峰为235,267nm,相当于嘧啶及噻唑两部分。在PH1时,只有1个高峰在247nm处,在260mn处有一个肩,也相当于这二个组成部分。在高温时,尤其在碱性溶液中,非常容易破坏,但在PH5以下易破坏。在碱性溶液中,在氧化剂(如高铁氰酸钾)可将维生素B1氧化为硫色素(Thiochrome),据此可用以测定VB1(图5-12)。

人工合成的VB1衍生物有丙基硫胺素二硫化物(Thiamin propyl disulfite,TPD)及4氢糖醛二硫硫胺素(thiamin tetrahydrofurfural disulfide TTFDD),不溶于水,被硫胺素酶破坏较少。口服后,血、组织及脑脊髓液中维生素B1的水平较服用维生素B1时要高甚至可高10倍。在消化道中也易吸收。因此这些衍生物常在临床上应用。有些衍生物如吡啶硫胺素(pyrithiamino)及氧代硫胺素有抗维生素B1作用,前者使大脑中维生素B1易于空竭,后者可导致除神经系统外其他系统的维生素B1缺乏症状

5.6.2 代谢

维生素B1小肠中吸收,浓度高时为扩散,低时为主动吸收,需要钠离子及ATP,缺乏钠离子及ATP酶可抑制其吸收。低水平时吸收约57.5%,高时约26.2%。维生素B1进入到小肠细胞磷酸化成酯,从小肠细胞出去,也需要正常浓度的钠离子及ATP酶。叶酸缺乏可影响维生素B1的吸收。

体内约有维生素B130mg,50%在肌肉中,骨骼、心、肝、肾及脑中较多,体内维生素B1的80%为TPP,10%为硫胺素三磷酸(TTP),还有一些硫胺素单磷酸及维生素B1。体内有三种酶参与形成上述的硫胺素磷酸化合物:硫胺素焦磷酸催化硫胺素与ATP作用形成TPP;TPP-ATP磷酸转移酶催化TPP+ATP→TPP;及硫胺素焦磷酸酶参与TPP→TMP的反应。

大鼠人尿中有许多硫胺素代谢物,已知结构者仅6种,其中2-甲基4-氨基5嘧啶羧酸,4-甲基噻唑5-醋酸及硫胺素醋酸为最主要者。在大鼠中经酒精脱氢酶的作用,可以将硫胺素及噻唑氧化到相应的要酸。

5.6.3 生理功能

(1)硫胺素焦磷酸为羧化酶的辅酶,其作用机理如图5-13。

①在微生物中,丙酮酸脱羧变为乙醛而放出CO2

乙酰羧基酸的合成:乙酰羧基酸为合成支链氨基酸缬氨酸异亮氨酸等)的中间体。

③作为磷酸戊糖旁路中转酮酶的辅酶 糖的无氧酵解及有氧氧化是动物体内糖分解代谢的主要途径,但还有一部分经磷酸戊糖旁路代谢,在肝中他只占酵解及氧化途径的8%。其特点是通过脱氢与脱羧反应生成CO2磷酸甘油醛及6-磷酸果糖,后二者仍进入酵解途径,其过程为葡萄糖磷酸化变为6-磷酸葡萄糖(G-6-P),在G-6-P脱氢酶的催化下,脱氢与水化合成6-磷酸葡糖酸,再经脱氢与脱羧等反应生成5-磷酸核酮酸,又转变为5-磷酸木酮糖及5-磷酸核糖,通过转酮糖酶(需要TPP,Mg2+)将酮糖上的二碳单位转移到另一个醛糖的1-C上,这个反应是可逆的,在这个循环上形成7C、6C、5C及4C磷酸单糖。

维生素B1焦磷酸羧化酶的作用机制


图5-13 维生素B1焦磷酸羧化酶的作用机制

磷酸戊糖途径


图5-14 磷酸戊糖途径

这个代谢的主要生理功能是产生核糖及NADPH。它是由葡萄糖产生5-磷酸核糖的唯一途径。在这个代谢中二脱氢酶(6-磷酸葡萄糖脱氢酶和6-磷酶葡糖酸脱氢酶)都是以NADP为辅酶,还原为NADPH。它为体内许多反应的供氢体,如脂肪酸、胆固醇类固醇的合成都需要它,所以在上述反应比较旺盛的脂肪组织哺乳期乳腺肾上腺皮质睾丸肝脏等,这种代谢也比较旺盛。遗传性6-磷酸葡萄糖脱氢酶缺乏的病人,不能进行磷酸戊糖旁路循环,NADPH缺乏与GSH量低下,红细胞很易破坏而发生溶血性贫血

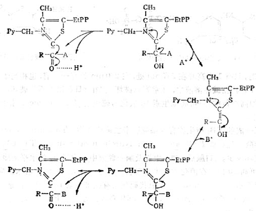
④α酮脱氢酶(如丙酮酸、α-酮戊二酸)系统中的辅酶,这类酶系统分步作用(图5-15)。

酮脱氢酶的作用


图5-15 -酮脱氢酶的作用

A 形成“活性醛”中间物,基质为α-酮酸与酶1(α-酮脱氢酶以硫胺素焦磷酸为辅酶)作用,脱羧后形成中间物。丙酶酸与酶作用的中间物为2-(羧乙基)硫胺素焦磷酸,α-酮戊二酸的中间物为2-(1,3羧基丙基)硫胺素焦磷酸。

B 将上述中间物转移至酶2硫辛酸上。

C 将酰基转移至辅酶A上,而双氢硫辛酸被酶3脱氢形成硫辛酸。

(2)硫胺神经生理上的作用 一个神经冲动可以使维生素B1磷酸化合物去磷酸,并使其在膜上位移,Na+得以自由通过膜,但有神经生理活性的维生素B1衍生物是焦磷酸衍生物还是三磷酸衍生物,现在尚不能肯定,对大脑功能作用,可能由于对5-羧色胺的纳入及磷脂合成有影响。

(3)硫胺素与心脏功能的关系 维生素B1缺乏引起心脏功能失调不是直接的作用,可能由于维生素B1缺乏使血流入到组织之量增多,使心脏输出增加负担过重,或由于维生素B1缺乏,心肌能量代谢不全。

5.6.4 猪牛肉、肝、肾等,全麦、糙米、新鲜蔬菜,豆类等富含维生素B1但是食物中有些因子可使维生素B1构造改变,活力减低。这种抗维生素B1的因子分种:一种易被热破坏,如硫胺素酶Ⅰ及Ⅱ,前者在淡水鱼及贝类内脏内,催化硫胺素的分解。后者存于某些生物中,催化维生素B1的分解,对热稳定的抗维生素B1因子存在于植物中,它可能与3,4双羧基肉桂酸单宁酸有关。低维生素B1摄取量的人群,如果多吃些抗B1因子,可导致维生素B1缺乏。

谷类在除去麸皮与糖的过程中,维生素B1损失很多,国外对精加工后的面粉都强化维生素与矿物质使其量相当于粗制品,这点应引起我国食品工业部门及消费者的注意,烹调加碱可使维生素B1损失。

5.6.5 需要量

评定维生素B1营养状况的指标一般以尿中排出量为准,可以用每克肌酐排出的维生素B1表示之。红细胞的转酮酶以维生素B1为辅酶,也用以测定人体的维生素B1营养状态。

成人维生素B1需要量为1.26~1.47mg.1000Kj-1,在这种摄取量的情况下,每日尿排出量为40~90ug,若摄取量增加到2.1mg.1000Kj-1,每日尿排出量为100ug或以上。若摄取量减低到0.84 mg.1000Kj-1,尿排出量为5~25ug。脚气病患者可低至0~15ug或以上。我国及美国提出供应量为2.1mg.1000Kj-1。老人利用硫胺素的效率较低,所以为4.2 mg.1000Kj-1。男性成人每日~1.5mg,女1.0~1.1mg,孕妇与乳母将其供应量增加0.3mg,儿童供应量0~6个月mg,6个月~1周岁0.5mg,1~3周岁0.7mg,4~6岁mg,7~10岁mg,男11~14岁mg,女11~14岁mg。饮酒过量者维生素B1需要量增加,动物试验说明维生素B1缺乏者,酒精自由饮用量增加,长期饮酒者可以导致不良饮食习惯或者干扰肠对维生素B1的吸收。

5.6.6 临床应用

单纯维生素B1缺乏可用生理剂量治疗。有些先天性代谢上需要维生素B1疾病需要用药理剂量,如需要维生素B1巨红细胞贫血乳酸尿(肝中丙酮酸脱羧酶活力低),支链酮酸尿(支链酮酸脱氢酶活力低)及亚急性坏死性脑脊髓病)(神经系统中缺乏TTP)。在这些病的治疗中,用不溶于水的维生素B1衍生物(如TPD,TTFD)比用维生素B1的效果要好。

静脉注射过量维生素B1可因呼吸中枢压抑而致死,其致死量每公斤体重:小鼠125mg,大鼠250mg,兔子300mg,狗350mg。静脉、皮下及口服致死量这比例为1:6:40。猴子注射每公斤体重600mg时,可产生中毒现象。人口服大剂量维生素B1,未发生过中 毒症象。皮下、肌肉、脊椎、静脉内每日注射正常量的1~200倍时,亦未发生中毒现象。但有些人接受大剂量后,发生过敏性休克

参看[编辑 | 编辑源代码]