舒巴坦酸
来自医学百科
英文名称: Sulbactam
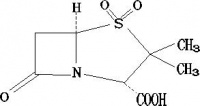
化 学 名 称:(2S-cis)-3,3-二甲基-7-氧代-4-硫代-1-氮杂双环[3,2,0]庚烷-2-羧酸 4,4-二氧化物
别名:青霉烷砜酸、(1 , 1 —二氧)-青霉烷。
分子式: C8H11NO5S
分子量: 233.24
结构式:
产品规格:符合《企业标准》2004
外观:白色或类白色结晶
熔点:146oC~151oC
比旋度:+243o~+258o
溶液颜色:小于1号黄色或黄绿色标准液
溶液澄清度:小于1号浊度标准液
水分: ≤0.5%
含量: ≥99%
用途:抗生素中间体。 本品为半合成的 β- 内酰胺酶抑制剂,与 β- 内酰胺类抗生素合用,有较好的抗菌作用。
包装:25kg/ 桶
| |||||||||||||||||||||||||||||||||||||||||||||||||||||||||||||||||||||||||||||||