羧甲基纤维素钠

来自医学百科

羧甲基纤维素钠,(又称:羧甲基纤维素钠盐,羧甲基纤维素,CMC,Carboxymethyl ,Cellulose Sodium,Sodium salt of Caboxy Methyl Cellulose)是当今世界上使用范围最广、用量最大的纤维素种类。

诞生[编辑 | 编辑源代码]

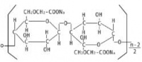
羧甲基纤维素钠(CMC)分子结构

由德国于1918年首先制得,并于1921年获准专利而见诸于世。此后便在欧洲实现商业化生产。当时只为粗产品,用作胶体粘结剂。1936~1941年,羧甲基纤维素钠的工业应用研究相当活跃,发明了几个相当有启发性的专利。第二次世界大战期间,德国将羧甲基纤维素钠用于合成洗涤剂。Hercules公司于1943年为美国首次制成羧甲基纤维素钠,并于1946年生产精制的羧甲基纤维素钠产品,该产品被认可为安全的食品添加剂。上世纪七十年代我国开始采用,九十年代开始普遍使用。是当今世界上使用范围最广、用量最大的纤维素种类。  

性状[编辑 | 编辑源代码]

羧甲基纤维素钠(CMC)外观

本品为纤维素羧甲基醚的钠盐,属阴离子型纤维素醚,为白色或乳白色纤维状粉末或颗粒,密度0.5-0.7/c㎡,几无臭、无味,具吸湿性。易于分散在水中成澄明胶状液,在乙醇等有机溶媒中不溶。1%水溶液pH为6.5~8.5,当pH>10或<5时,胶浆粘度显著降低,在pH7时性能最佳。对热稳定,在20℃以下粘度迅速上升,45℃时变化较慢,80℃以上长时间加热可使其胶体变性而粘度和性能明显下降。  

工艺[编辑 | 编辑源代码]

CMC通常是由天然纤维素与苛性碱及一氯醋酸反应后制得的一种阴离子型高分子化合物,分子量6400(±1 000)。主要副产物是氯化钠乙醇酸钠。CMC属于天然纤维素改性。目前联合国粮农组织(FAO)和世界卫生组织(WHO) 已正式称它为“改性纤维素”。  

质量[编辑 | 编辑源代码]

衡量CMC质量的主要指标是取代度(DS)和纯度。一般DS不同则CMC的性质也不同;取代度增大,溶解性就增强,溶液的透明度及稳定性也越好。据报道,CMC取代度在0.7~1.2时透明度较好,其水溶液粘度在pH值为6~9时最大。为保证其质量,除了选择醚化剂外,还必须考虑影响取代度和纯度的一些因素,例如碱与醚化剂之间的用量关系、醚化时间、体系含水量、温度、DH值、溶液浓度及盐类等。  

现状[编辑 | 编辑源代码]

为了解决原料(棉短绒制成的精制棉)来源之不足,近几年来我国一些科研单位与企业共同合作,综合利用稻草、地脚棉(废棉)、豆腐渣等试制生产CMC获得成功,生产成本大大下降,这样为CMC工业生产开辟了一条新的原料来源途径,实现资源的综合利用。一方面降低生产成本,另一方面CMC又往更高精细方向发展。目前,CMC的研究与开发主要着重现有生产技术的改造与制造工艺的革新,以及具有独特性能的CMC新产品,如国外研制成功并已普及应用的“溶媒-多元弱极性溶剂法”工艺,生产出具有高稳定性能的新型改性CMC,由于取代度较高,取代基分布更为均匀,使其可以应用在更为广阔的工业生产领域和复杂的使用环境,满足更高的工艺要求。国际上把这种新型改性CMC又称作“聚阴离子纤维素(简称PAC,Poly anionic cellulose)”。

应用[编辑 | 编辑源代码]

本品具有粘合、增稠、增强、乳化、保水、悬浮等作用。

高粘度羧甲基纤维素钠(CMC)的水溶液

  

1.CMC在食品工业中的应用[编辑 | 编辑源代码]

FAO和WHO已批准将纯CMC用于食品,它是经过很严格的生物学毒理学研究和试验后才获得批准的,国际标准的安全摄入量(ADI)是25mg/(kg.d),即大约每人.5 g/a。曾有报道说,有人试验摄入量达到10 kg也未有毒性反应。CIVIC在食品应用中不仅是良好的乳化稳定剂、增稠剂,而且具有优异的冻结、熔化稳定性,并能提高产品的风味,延长贮藏时间。在豆奶、冰淇淋、雪糕、果冻、饮料、罐头中的用量约为1% ~1.5%。CMC还可与醋、酱油、植物油、果汁、肉汁、蔬菜汁等形成性能稳定的乳化分散液,其用量为0.2% ~ 0.5%。特别是对动、植物油、蛋白质与水溶液的乳化性能极为优异,能使其形成性能稳定的匀质乳状液。因其安全可靠,因此,其用量不受国家食品卫生标准ADI限制。CMC 在食品领域不断被开发,近年来,在葡萄酒生产中应用羧甲基纤维素钠的研究也已开展。  

2.CMC在医药行业的用途[编辑 | 编辑源代码]

在医药工业中可作针剂的乳化稳定剂,片剂的粘结剂和成膜剂。有人经基础及动物实验证明CMC是安全可靠的抗癌药载体。用CMC作膜材料,研制的中药养阴生肌散的改造剂型— —养阴生肌膜,能用于皮肤磨削手术创面外伤性创面。动物模型研究表明,该膜防止创面感染,与纱布敷料无明显差异,在控制创面组织液渗出与创面快速愈合上,此膜明显优于纱布敷料,并有减轻术后水肿和创面刺激作用。用聚乙烯醇:羧甲基纤维素钠:聚羧乙烯按3:6:1的比例制成的膜剂为最佳处方,粘附性及释放速率均增加,在增加粘膜粘附缓释膜剂的粘附力,延长制剂在口腔内的滞留时间及制剂中药物的药效都有明显提高 。丁哌卡因为强效局部麻醉药,但它中毒时有时可产生较为严重的心血管副反应,故临床上在广泛应用丁哌卡因的同时,对其毒性反应的防治研究一直较为重视。药剂研究显示,CIVIC作为缓释物质与丁哌卡因溶液进行配制可显著降低药物的副作用。在PRK手术中,采用低浓度地卡因与非甾体类抗炎药联合CMC可明显缓解术后疼痛。预防腹部手术后腹膜粘连、减少肠梗阻的发生是临床外科最关注的问题之一。有研究表明,CMC减轻术后腹膜粘连程度的作用明显优于透明质酸钠,可作为一种有效的方法来防止腹膜粘连的发生。CMC用于治疗肝癌导管肝动脉灌注抗癌药中,可以明显延长抗癌药在肿瘤的滞留时间,增强抗肿瘤的力,提高治疗效果。在动物医学上,CMC也有广泛的用途。有报道指出,向母羊腹腔内滴注1%CMC溶液来预防家畜难产、生殖道手术后发生腹部粘连有显著效果。  

3.CMC在其它工业中的应用[编辑 | 编辑源代码]

在洗涤剂中,CMC可用作抗污垢再沉积剂,尤其是对疏水性的合成纤维织物的抗污垢再沉积效果,明显优于羧甲基纤维。

CMC在石油钻探中可用于保护油井作为泥浆稳定剂、保水剂,每口油井的用量为浅井2.3t,深井5.6t;

在纺织工业中用作上浆剂、印染浆的增稠剂、纺织品印花及硬挺整理。用于上浆剂能提高溶解性及粘变,并容易退浆;作为硬挺整理剂,其用量在95%以上;用于上浆剂,浆膜的强度、可弯曲性能明显提高;用再生丝心蛋白和羧甲基纤维素构成的复合膜作为固定葡萄糖氧化酶基质,固定葡萄糖氧化酶和羧酸二茂铁,制成的葡萄糖生物传感器具有较高的灵敏度与稳定性。研究表明,用浓度为1%(w/v)左右的CMC溶液调制硅胶匀浆时,制得的薄层板的色谱性能最佳,同时,这种在优化条件下涂制的薄层板具有适当的层强度,适用于各种加样技术,方便于操作。CMC对大多数纤维均有粘着性,能改善纤维间的结合,其粘度的稳定性能确保上浆的均匀性,从而提高织造的效率。还可用于纺织品的整理剂,特别是永久性的抗皱整理,给织物带来耐久性的变化。

CMC可用作涂料的防沉剂、乳化剂分散剂、流平剂、粘合剂,能使涂料的固体份均匀地分布于溶剂中,使涂料长期不分层,还大量应用于油漆中。

CMC用作絮凝剂在除去钙离子方面比葡萄糖酸钠更有效,用作阳离子交换时,其交换容量可达1.6 ml/g 。

CMC在造纸行业用作纸张施胶剂,可明显提高纸张的干强度和湿强度及耐油性、吸墨性和抗水性。

CMC在化妆品中作为水溶胶,在牙膏中用作增稠剂,其用量在5%左右。

CMC可作为絮凝剂、螯合剂、乳化剂、增稠剂、保水剂、上浆剂、成膜材料等,还广泛应用于电子、农药、皮革、塑料、印刷、陶瓷、日用化工等领域,而且由于其优异的性能和广泛的用途,还在不断地开拓新的应用领域,市场前景极为广阔。

 注意事项

(1)本品与强酸、强碱、重金属离子(如铝、锌、汞、银、铁等)配伍均属禁忌。

(2)本品允许摄入量为0~25mg/kg。