磷酸伯氨喹

来自医学百科
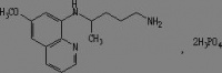
Bk2jd.jpg

【药物名称】磷酸伯氨喹 Primaquine Diphosphate

【药物别名】伯氨喹啉 Avion

【分子式成分】化学名:N4-(6-甲氧基-8-喹啉基)-1-戊二胺二磷酸盐。分子式:C15H21N3OH3PO4。分子量:455.34。

【制剂规格】片剂:13.2mg(相当于伯氯喹7.5mg)。本品为糖衣片,除去糖衣后显橙红色。

【药理毒理】本品是8氨基喹啉类,对间日疟原虫红细胞外期及各型疟原虫配子体,有较强的杀灭作用,为阻止复发及中断传播的有效药物。

本品可杀灭间日疟、三日疟、恶性疟和卵形疟组织期的虫株,尤以间日疟为著,也可杀灭各种疟原虫的配子体,对恶性疟的作用尤强,使之不能在蚊体内发育,以阻断传播。本品对红内期虫体的作用很弱。伯氨喹的抗疟机制还不完全清楚,可能与干扰DNA的合成有关,将疟原虫红外期虫体与组织细胞一起置伯氨喹溶液中培养8小时,电镜观察可见,伯氨喹可使疟原虫线粒体形态发生改变,表现为线粒体肿胀,并出现胞浆空泡。该药能抑制线粒体的氧化作用,使疟原虫摄氧量显著减少。伯氨喹在体内经过代谢,转变为具有较强氧化性能的喹啉醌衍生物,能将红细胞内的还原型谷胱甘肽(GSH)转变为氧化型谷胱甘肽(GSSH),当后者还原时,需要消耗还原型辅酶Ⅱ(NADPH)。由于疟原虫红外期在肝实质细胞内发育本已消耗辅酶Ⅱ(NADP),而伯氨喹的作用又干扰辅酶Ⅱ的还原过程,使辅酶Ⅱ减少,严重地破坏疟原虫的糖代谢及氧化过程。

【药 动 学】口服后在肠内吸收快而完全,生物利用度约96%,口服45mg(基质),在1小时内血浆中浓度达峰值,约250mg/L。主要分布在肝组织内,其次为肺、脑和心等组织。T1/2为5.8小时(3.7-7.4小时),大部分在体内代谢,仅1%由尿中排出,一般于24小时内完成。因血中浓度维持不久,故需反复多次服药才能收效。

【适 应 证】防治间日疟、三日疟的复发和传播,以及防止恶性疟的传播。

不良反应】易发生疲劳、头昏、恶心呕吐腹痛、药热。

(1) 本品毒性反应较其他抗疟药为高。当每日用量超过30mg(基质)时,易发生疲倦、头晕、恶心、呕吐、腹痛等不良反应;少数人可出现药物热粒细胞缺乏等,停药后即可恢复。

(2)葡萄糖-6-磷酸脱氢酶缺乏者服用本品可发生急性溶血型贫血,这种溶血反映仅限于衰老的红细胞,并能自行停止发展,一般不严重。一旦发生应停药,作适当的对症治疗。当葡萄糖-6-磷酸脱氢酶缺乏时,会引起高铁血红蛋白过多症,出现紫绀胸闷症状,应用亚甲蓝1~2mg/kg作静脉注射,能迅速改善症状。

【相互作用】(1)本品作用于间日疟原虫的红外期,与作用于红内期的氯喹合用,可根治间日疟。

(2)米帕林(阿的平)及氯胍可抑制伯氨喹的代谢,故伯氨喹与此二药同用后,其血药浓度大大提高,维持时间也延长,毒性增加,但疗效未见增加。

(3)不宜与其它具有溶血作用和抑制骨髓造血功能的药物合用。

【用法用量】口服:26.4mg/日,顿服,连服14日;或39.6mg/日,连服8日;或52.8mg/日,连服4日。服此药前3日,先服氯喹;或在第一、二日同服乙胺嘧啶

小儿常用量:口服,按氨喹计,根治间日疟每日按体重0.39mg/kg,连服14日。用于杀灭恶性疟配子体时,剂量相同,连服3日。

【注意事项】妊娠C类。孕妇、哺乳期妇女慎用;肝、肾、血液系统疾患及糖尿病患者慎用。对少数红细胞中缺少葡糖-6-磷酸脱氢酶的患者,可发生急性溶血性贫血,应立即停药,并静滴5%葡萄糖盐水;严重者需输血。如发生变性血红蛋白血症,可静注亚甲蓝,每次~2mg/kg,以25%葡萄糖液稀释后静注。