次甲氯地孕酮

来自医学百科
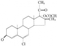
Bk5dn.jpg

次甲氯地孕酮 methylenechlormadinone

【性状】白色或微黄色结晶或结晶性粉末,无臭,无味,熔点198~206℃。难溶于水,易溶于氯仿丙酮乙酸乙酯

【药理及应用】为口服有效的强效孕激素,与氯地孕酮相比,具有较强的排卵抑制作用。与长效雌激素炔雌醚配伍可作为长效口服避孕药,每服1片,可避孕20~26天。

【用法】口服:于月经第5天服1片,20天后服第2片,以后每隔26天服1片。

【注意】可有恶心呕吐头晕食欲不振乏力白带增多等,少数有闲经或经量增多,但随服药次数增加,症状会减轻或消失。如服用抗副反应片(每片含维生素b630mg、优托品5mg、咖啡因30mg),可减少副作用;加服奋乃静2mg,效果更好,其他见氯地孕酮。

【制剂】复方次甲氯地孕酮片:每片含次甲氯地孕酮12mg和炔雌醚3mg。

【贮法】遮光,密闭保存。