核与化学损伤/核武器概述

来自医学百科

核武器(nuclear weapon)是利用原子核裂变或聚变反应,瞬间释放出巨大能量,造成大规模杀伤和破坏作用的武器。原子弹、氢弹和中子弹统称核武器。核武器是战略威慑和扼制常规战争的主要手段,现代战争大多是核武器威慑下的常规武器局部战争。
  核武器的威力取决于爆炸时所释放出的能量,以TNT当量(TNt equivalent)表示。所谓TNT当量是指核爆炸时所释放的能量相当于多少吨(t)TNT炸药爆炸所释放的能量。
  核武器按爆炸威力可分为百吨(102t)级、千吨(kt)级、万吨(101kt)级、十万吨(102kt)级、百万吨(Mt)级和千万吨(101Mt)级。所谓万吨级核武器,是指其当量在万吨数量级之内,即1万吨以上至十万吨以下。其它吨级的含意依此类推。
  核武器按战斗使用又可分为战略核武器和战术核武器。战略核武器包括陆基、核潜艇发射的弹道导弹,远程飞行运载导弹,巡航导弹核航弹;战术核武器包括地面、海上和飞机上发射的中短程核弹头导弹、巡航导弹、核航弹、以及核大炮、核地雷、核水雷和核鱼雷等。核武器的发展趋势是:增强灵活使用能力,向核弹小型化、弹种多样化、当量可调化发展;增强打击能力,提高命中精度;增强突防能力,发展多弹状技术;增强快速反应能力。核武器即使在战争中不直接使用,也在高科技局部战争中起着重要的威慑作用。


一、核武器的爆炸原理及基本构造
  (一)原子弹
  1.爆炸原理:原子弹(atomic bomb)的爆炸原理是重原子核裂变的链式反应(chain reaction of heavy nuclear fidssion)。
  一些重元素(如235U、239U)的原子核在一个中子轰击下,分裂成两个质量相近的新核(也称核碎片),并放出2~3个中子和200MeV能量过程,称为重核裂变反应。如235U的反应式为:
Glwa1acd.jpg
  式中:X、Y为新原子核(核碎片)。
  每个重核裂变时释放出的2~3个中子,若有一个中子再轰击另一重核引起分裂,分裂后又发生这样的反应;如此能使重核裂变反应自动连续地进行,称为重核裂变的链式反应(图2-1)。
Glwa195q.jpg
图2-1 重核裂变的链式反应示意图
  重核裂变链式反应,必须在一定质量的体积中才能进行。能持续重核裂变链式反应持续进行的裂变物质的最小质量,叫做临界量(critical mass),与临界面质量相对应的体积,叫做临界体积(critical size)。
  2.基本构造:原子弹主要由核装料(235U或239Pu)、引爆装置、中子源、中子反射层和核装料弹壳等组成(图2-2)。
  Glwa1flo.jpg
图2-2 原子弹结构示意图
  3.起爆过程:当引爆装置点火后,引起各炸药块同时爆炸,产生巨大压力向中心挤压,使分装的、每块小于临界质量的核装料,骤然合拢成一个球体,达到超临界状态。在中子源发射的中子轰击下,引起按等比级数发展的越来越激烈的重核裂变链式反应,在极短的时间内使一定的量的重核裂变,释放巨大能量,形成猛烈的核爆炸。1kg235U或239PU,只需百万分几秒,经200代就可以全部裂变,释放的能量相当于20ktTNT炸药爆炸时所释放的能量。
  (二)氢弹
  1.爆炸原理:氢弹(hydrogen bomb)的爆炸原理是轻原子核聚变反应(light nuclear fusion reaction)。
  一些轻核素(如21H、31H等)的原子核,在几千万度的高温下发生聚变反应,并放出中子和巨大能量。如:   Glwa170m.jpg
  由于聚变反应须在极高温度下才能进行,故聚变反应又称热核反应(thermonuclear reaction),氢弹也叫做核武器(thermonuclear weapon)。
  2.基本构造:氢弹主要由热核装料(通常用氘化锂)、引爆装置(为一枚小当量原了弹)和弹壳(常掺有238U)等组成(图2-3)。
Glwa1crr.jpg
图2-3 氢弹结构示意图
  3.起爆过程:首先引爆原子弹,氘化锂在高温、高压和中子作用下,锂即产生氚,随之氘氚迅速聚合,放出高能中子和巨大能量,引起比原子弹更为猛烈的爆炸。1kg氘氚混合物完全聚变,所释放的能量为1kg235U或239Pu完全裂变所释放能量的3~4倍。氢弹是裂变——聚变双相弹。若弹壳中含有235U,则氘氚聚变产生的高能中子能使235U发生裂变,增加裂变碎片的产额,提高爆炸威力。这种氢弹称裂变—聚变—裂变三相弹。
  (三)中子弹
  中子弹(neutron bomb)是利用氘氚聚变反应,产生高能中子杀伤人员的战术核武器。其构造与氢弹类似(图2-4)。
Glwa1bk7.jpg
图2-4 中子弹结构示意图
  中子弹的特点是:
  1.中子产额高、能量大:中子弹是氘与氚、氘与氘、氚与氚的聚变,聚变能量的80%以上以中子形式释放出来。与同等爆炸威力的原子弹相比,中子的产额肌肉可以大10倍,中子的平均能量达14MeV,甚至高达17MeV。
  2.光辐射、冲击波作用仅为同当量原子弹的十分,放射性沾染轻微。
  3.当量小,一般为1~3kt。
  二、核武器的爆炸方式
  核武器的爆炸方式可直接影响杀伤破坏效应,因此可根据不同的使用目的选用爆炸方式,以达到最大的杀伤破坏效应。也可参照爆炸方式,分析、预测核袭击造成的杀伤破坏情况。
  核爆炸方式肌肉可以分为空中爆炸(air burst)、地下爆炸(land surface burst)、地下爆炸(underground burst),以及水面爆炸(water surface burst)和水下爆炸(underwater burst)等几种。
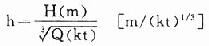
  大气层中的核爆炸,通常以火球是否接触地面作为划分空爆和地爆的标准,接触地面为地爆;不接触地面为空爆。不同爆炸方式用爆炸高度(m)和当量(kt)立方根的比值来表示,此比值称为比例爆高(scaled height of burst),简称比高(h),其单位是m/(kt)1/3。即
  Glwa1edz.jpg
  不同爆炸方式的比高划分如下:
  地爆 0~60
  空爆:>60;
  低空爆炸(low altitude explosion) 60~120
  中空爆炸(middle altitude explosin)120~250
  高空爆炸(high altitude explosion) >250
  比高为0时好为直接贴在地面的爆炸,比高<60时,火球接触地面,爆炸高度在30km以上为超高空爆炸。地下或水下爆炸,是指在地下或水下一定深度的爆炸。
  三、核武器的爆炸景象
  核爆炸时,产生特异的外观景象。除地下(水下)爆炸外,其共同的特点是依次出现闪光(flash)、火球(fire ball)、蘑茹状烟云(mushroom cloud),并发出巨大响声。
  根据核爆炸外观景象的特征(表2-1),肌肉可以初步估计爆炸方式,还可根据火球大小,上升速度等参数估算爆炸当量。
表2-1 核武器空爆和地爆时外观景象的特征


外观景象 空 爆 地 爆
火球 不接触地面空中爆炸时,开始为球形,当地面反射冲击波到达时变形
超高空爆炸时始终是球形
接触地面始终近似半球形
烟支和尘柱 低空、中空爆炸时,烟云和尘柱最初不连接,而后尘柱追及烟云,互相连接高空爆炸时,烟云和尘柱始终不连接超高空爆炸时不形成尘柱 烟云和尘柱一开始就连接在一起,烟云颜色深暗,尘柱较粗大