果聚糖

来自医学百科
菊糖分子结构,大多数果聚糖都是菊糖型。

果聚糖果糖分子的聚合物,存在于洋蓟芦笋、四季豆、韭葱、洋葱、葱、菊薯、小麦等食物中。

在动物饲料中,牧草也含有果聚糖,由此可以看出果聚糖可能是马科的饮食必需。

类型[编辑 | 编辑源代码]

生成缩略图出错:无法创建临时缩略图文件
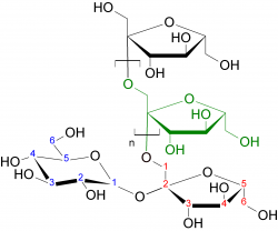
从上到下依次为菊糖型、Levan型、Graminan型,绿色部分可重复若干次。最下方的Graminan型果聚糖名为6,6&1 kestopentaose。

果聚糖有3种类型:

  1. 菊糖型 - 线型果聚糖,通常以β(2→1)配糖键连接
  2. Levan型 - 线型果聚糖,通常以β(2→6)配糖键连接[1]
  3. Graminan型 - 支链型果聚糖,以β(2→1)和β(2→6)配糖键连接

功能[编辑 | 编辑源代码]

能将营养物质转化成果聚糖的植物可以在低温条件下良好的生长,因为果聚糖能增强植物的耐寒性。果聚糖会与细胞膜结合,可以保证细胞形态,使细胞不致受损。

食物中的果聚糖含量[编辑 | 编辑源代码]

洋姜 16.0-20.0%[2]
菜薊 2.0-6.8%[2]
芦笋 1.4-4.1%[2]
大麦谷粒(未成熟) 22%[3]
乳酪 4.5%[4]
巧克力 9.4%[4]
洋葱 1.1-10.1%[2]
裸麦 7%[5]
裸麦谷粒 4.6-6.6%[5]
小麦粉 1-4%[3]
意式麵食 1-4%[2]
白麵包 0.7-2.8%[2]

参见[编辑 | 编辑源代码]

参考文献[编辑 | 编辑源代码]

注释[编辑 | 编辑源代码]

  1. Kang et al.. Microbial Production of Biopolymers and Polymer Precursors. Caister Academic Press, 2009.
  2. 2.0 2.1 2.2 2.3 2.4 2.5 SUSAN J. SHEPHERD, M Nut Diet, APD*; PETER R. GIBSON, MD, MB, FRACP, "Fructose Malabsorption and Symptoms of Irritable Bowel Syndrome: Guidelines for Effective Dietary Management," J Am Diet Assoc 2006:106:1631-1639.[1]
  3. 3.0 3.1 Department of Food Science and Nutrition, University of Minnesota, Joanne L. Slavin, PhD, RD, "Mechanisms for the Impact of Whole Grain Foods on Cancer Risk," Journal of the American College of Nutrition, Vol. 19, No. 90003, 300S-307S (2000)[2]
  4. 4.0 4.1 Leon Prosky and Hubert Hoebregs, "Methods to Determine Food Inulin and Oligofructose," Journal of Nutrition. 1999;129:1418S-1423S.[3]
  5. 5.0 5.1 Karppinen, Sirpa. Dietary fibre components of rye bran and their fermentation in vitro. Espoo 2003. VTT Publications 500. 96 p. + app. 52 p.[4]
  • Sugar - Chemical, Biological and Nutritional Aspects of Sucrose. John Yudkin, Jack Edelman and Leslie Hough (1971, 1973). The Butterworth Group. ISBN 0-408-70172-2

外部链接[编辑 | 编辑源代码]

模板:Carbohydrates

参考来源[编辑 | 编辑源代码]