支链淀粉

来自医学百科
Bk654.jpg

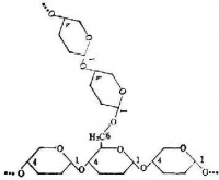
支链淀粉(amylopection)又称胶淀粉,分子相对较大,一般由几千个葡萄糖残基组成.支链淀粉难溶于水,其分子中有许多个非还原性末端,但却只有一个还原性末端,故不显现还原性.支链淀粉遇碘产生棕色反应.在食物淀粉中,支链淀粉含量较高,一般65%--81%.

支链淀粉中葡萄糖分子之间除以α-1,4-糖苷键相连外,还有以α-1,6-糖苷键相连的。所以带有分支,约20个葡萄糖单位就有一个分支,只有外围的支链能被淀粉酶水解为麦芽糖。在冷水中不溶,与热水作用则膨胀而成糊状。遇碘呈紫或红紫色

本篇关键字:支链淀粉