医院药学/F与Fo值在灭菌中的意义与作用

来自医学百科

近年来对灭菌过程无菌检验中存在的问题引起人们的注意。一方面灭菌温度多系测量灭菌器内的温度不是灭菌物体内的温度,同时无菌检验方法也在局限性。在检品存在微量的微生物时,往往难以用现行的无菌检验法检出。因此,人们对认识到对灭菌方法的可靠性进行验证是很必要的。F(或F)值可作用验证灭菌可靠性的参数。

(一)微生物致死间曲线与D值 人们对微生物死亡的动力学研究表明,其死亡速度属一级过程,在一定温度下符合下述方程(1-1式):

Goz8yh02.jpg


式中N。为原始微生物数,Nt为残存的微生物t时残存的微生物。残存数的对数时间作图,得一条直线,直线的斜率=K/2.303,K为速度常数,单位为时间。为了方便起见,引用D,并定义D为一定温度下杀死被灭菌物品中微生物娄99%所需时间,上式可写成Goz8yppf.jpg 根据D的定义,则Goz8yxy3.jpg


因此,D也可定义为降低微生物一个位数()或一个对数值(如log100降低到log10)所需的时间,如图46-1所示。D值因微生物的种类、环境、灭菌温度不同而各异(表46-1)。

(二)Z值 一旦在不同温度下对特定的微生物的在特定介质或环境中求得D值后,就可用logD值对温度作图,在一定温度范围内,logD与T呈直线关系,直线的斜率=logD2-logD1/T2-T1

由于此斜率为负值,为避免引入负数,而提出Z值的概念,Z=T-T1/logD2-logD1,故定义Z值为降低一个logD值需的温度数,如图46-2的单位为度,也可以认为Z值是降低微生物数90%所需要的温度数。表46-2是一些药物溶液的Z值

Goz8z6o2.jpg


图46-1 logNt与t的关系图

Goz8ytry.jpg


图46-2 logD与T关系图

表46-1 不同灭菌法不同微生物的D值

灭菌方法

微生物

温度

介质或样品

D值(min)

蒸气灭菌

嗜热脂肪芽孢杆菌

105

5%葡萄糖水溶液

87.8

蒸气灭菌

嗜热脂肪芽孢杆菌

121

5%葡萄糖水溶液

2.4

蒸气灭菌

嗜热脂肪芽孢杆菌

121

注射用水

3.0

蒸气灭菌

芽胞梭状芽孢杆菌

105

5%葡萄糖水溶液

1.3

干热灭菌

枯草芽胞杆菌

135

16.6

红外线灭菌

枯草芽胞杆菌

160

玻璃板

18秒

表46-2 不同溶液以嗜热脂肪芽孢村菌测定Z值

溶液

Z值℃

5%葡萄糖水溶液

10.3

注射用水

8.4

5%葡萄糖乳酸盐林格氏溶液

11.3

PH7磷酸缓冲液

7.6

(三)F值与Fo值

1.F值 F值的数学表达或可表示如下:

Goz8z1xx.jpg


△t是测量被灭菌物温度的时间间隔,一般为0.5-1.0或更小,T是每个△t测量被灭菌的温度,To是参比温度(reference temperature)。

按此表达式,F为在一定温度(T),给Z值所产生的灭菌效力与参比温度(To)给定Z值所产生的灭菌效果相同时所相当的时间(equivalent time)以分为单位。例如干热灭菌的参比温度用170,消毁大肠杆菌内毒素(endotoxin of E.Coli)的Z值为54℃,则采用250℃干热灭菌消毁上述内毒素的F值为750℃分。

根据式(1-1),Goz8zchq.jpg 若Nt确定为灭菌效果。同时D=2.303/K,故也可将在一定温度(T)下杀死容器中全部微手物所需的时间称为F值,它等于D值与微生物数降低值的乘积,F值的意义就更明确了。

F=DT×(log100-log10-6

2.Fo值为一定灭菌温度(T)Z值为121℃,并假设特别耐湿热的微生物指示剂(嗜热脂肪芽胞杆菌)的Z值为10℃,则

Goz8yca8.jpg


显然,Fo值为一定灭菌温度(T)Z值为10 ℃所产生的灭菌效果力相同时所相当的时间(分)。也就是说Fo是将各种灭菌温度使微生物的致死力转换为灭菌物品完全暴露于121℃使微生物致死效力。

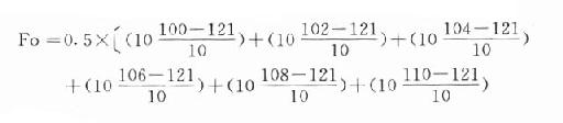
灭菌过程中,只需记录被来菌物的温度与时间,就可算出Fo,假设如下数据,△t取0.5分。

时间(min)

0

0.5

1.0

1.5

2.0

2.5

3.0

3.5

4.0

温度(℃)

100

102

104

106

108

110

115

114

115

并假设4.0min以后,维持115℃30 min不变,则

Goz8ykzr.jpg


Fo还可以看作P(2)值与微生物的对数降低值的乘积。

Fo=D121×(logNo-logNt)

同样,Nt为灭菌后希望达到微生物残存数,一般取10-6如将含有200个嗜热脂肪芽胞杆菌的5%葡萄糖水溶液以121℃热压灭菌时杀死容器中全部微生物所需要的时间。

Fo值的计算对于验证灭菌效果极为有用,当产品以121℃湿热灭菌时,灭菌器内的温度虽能迅速升到121℃,而被菌物品内部则不然,通过由于包装材料性能及其他因素影响而使。升温度各异,而Fo将随着产品温度(T)变化而呈指数的变化。故温度即使很小的差别(如0.1-1),将对Fo值产生显著的影响。同时要求测定灭菌物品内的实际温度,故用Fo来监测难灭菌效果肯有重要的意义。由于Fo是将不同灭菌温度折算到相当于121℃湿热灭菌时的效力,故Fo值可作为灭菌过程的比较参数。

为了使Fo测定准确,先应选择灵敏度高,重现性好,精密度为0.1的热电偶,并对热电偶进行校验。灭菌时应将热电偶的探针置于被测物的内部,经灭菌器通向柜外的湿度记录仪,有些灭菌记录仪(digistrip recolder)附有Fo计算器,在灭菌过程中和灭菌后,自动显示Fo值。

另外,还应考虑一些其他因素对Fo值的影响,有人对溶液粘度,容器充填量及容器在灭菌器内的数量与排布进行了研究。结果发现对Fo均有影响,而以后者影响最大。故要注意灭菌器内各层、四角、中间位置热分布是否均匀,并进行实际测定,作出合理排布,以便测得Fo值更可靠。

为了确保灭菌效果,还应注意两个问题,根据Fo=D121×(logNo-logNt),若N越大,即被灭菌物中微生物越多,则灭菌时间越长,故生产过程中应尽量减少微生物的污染,应采取各种措施使每个容器的含菌数控制在10以下(即(log10≤1)。其次计算Fo时,应适当考虑增加安全因素,一般增加5%,如规定Fo为8分,则实际操作应控制Fo12分为好。