医院药学/毒性实验法

来自医学百科

(一)概述 某一种新药或一个的制剂,于临床使用前,必须经过这个步骤。虽然药物对人的作用,不完全能在动物身上表现出来,但对一个药物来说仍是一个很有用的参考数据。因此,为保证病人的用药安全,新药在临床应用前一定要进行毒性试验。毒性试验的类型,可根据药物的性质及使用途径、方法和时间等加以选择。如有的药物后则产生中毒症状;有的药物需长期服用才能秦效等。因此,药物的毒性试验,应根据该药物的特点来决定。

(二)急性毒性试验(一般安全试验)取体重18-22g的健康不白鼠5只,由尾静脉(或腹腔)注射一定剂量的药液(容量以0.5ml为宜,可用注射生理水稀释成不同浓度),注射时间为4-5秒,观察有无不良反应(如惊厥、四肢瘫痪、步伐不稳、竖毛、呼吸抑制等)或死亡。主要以死亡为指标,注射后48小时内不得有死亡。如有死亡应加取小白鼠10只重新试验,全部小白鼠在48小时内不得有死亡(做过本试验的小白鼠不得重复使用)。

【注】①供试品静脉有困难时,可由腹腔注射,注射量仍为0.5ml,注射时间不限,注射后72小时内不得有死亡。

②若某一药物无安全试验剂量时,可将临床人用剂量乘以一定的安全系数然后再折算成小白鼠体重的剂量。安全系数大小,应根据该药物的纯度及临床试验情况而定,一般治疗性药物可定为50-100,需长期服用的药物可为100以上。

例:某注射液,成人(按体重50kg计),每次注射量为4ml,安全系数为50,则小白鼠(按20g计)的给药剂量为:

小鼠剂量=4×50/50000×20=0.08ml

取该药0.08ml加0.9%氯化注射液稀释成0.5ml,作为供试品的注射用量。

③也可用同样方法试验(即某一剂量注入小白鼠内,若5只中只有1只死亡,则减剂量再试直至试出5只小白鼠均不死亡的最大剂量)。求出某药物的安全系数。

计算公式:

安全系数=小白鼠最大耐受量×成人体重(g)/成人用量×小白鼠体重(g)。

例:某药特的剂量为4ml,当剂量为0.2ml(稀释至0.5ml),给小白鼠静脉注埋时引起死亡,减剂量再试,在0.16ml/20g时,没有反应,故含有苯甲醇的注射剂,对试验往产生干扰,应引起注意。

④苯甲醇对小白鼠有一定毒性反应,故含有苯甲的注射剂,对试验结果往往产生干扰,应引起注意。

(三)亚急性和慢性试验 需要较长期投用的药物,应做亚急性或慢性毒笥试验。方法和急性毒性试验基本相同,按小白鼠体重计算,每在在口服或腹腔注射剂量为人用剂量的20-50倍,连续用药1-8周。慢性毒性,连续用3-6个月。在用药期间,应仔细观察试验动物的体重、进食量、进水量的变化,以及有无不良反应或死亡。动物在试验前后,均应做血象、肝、肾等功能检查,以资对照。试验中死亡或试验完毕的动物都要做解剖,观察内脏器管和组织切片检查。根据试验结果,判断可否用于临床。

【注】①亚急性,慢性毒性试验,均应设对照。这是由于的饲养环境和健康情况的不同个体差异往往很大,给药后内脏的变化如无空白对照组做比较,常使实验结果难以判断。

②非经口服的药品,应注意须灭菌后作用,以免动物被染而影响结果。

③毒性实验的给药途径,应尽量采用与临床应用的相同方法。给药途径不同毒性表现常是差别很大,如口服给药LD50比静脉或腹腔注射的LD50大几十倍。

④毒性实验前,实验设计要考虑周密,应尽力避免实验中临时改变条件。实验用的动物,一般应在本实验室条件下2周以上,使动物适应环境后,再进行实验。

⑤实验室要注意加强对动物的管理,保持清洁卫生。对实验中途死亡的动物应做出客观的分析,以便正确总结判断。

⑥毒性实验中,除记录计量指标外,支动物的一般状态如兴奋、抑制、麻痹呼吸、食欲、体重等应进行仔细地观察、对实验中药物出现作用的时间,速度以及毒副作用的特点等,均应严密观察,并详细记录,以便进行综合分析。

⑦在亚急性、慢性毒性实验中,应根据药物的性质和实验要求的不同,在给药前后以及实验时,对实验动物易发生毒性反应的主要器官进行检查。检查项目有:

A血象:包括血色红素、红、白细胞及分类计数等。

B肝功能肝脏是机体重要的代谢器官,不仅对糖、蛋白质脂类代谢起得要作用,也是许多药物在体内的解毒场所,故应进行肝脏功能的检查。

C肾功能:大部分药物从肾脏排泄,故应测定药物对肾功能有无损害及其损害的程度,其中包括血中非蛋白氮含量,小便常规检查。

D组织切片:可进一步了解药物对各脏器有无损害及其损害的程度。可将动物在不同的期内分批处死、取其心,肝、脾、肺肾、胃、肠等进行切片检查,并与对照比较,观察药物对各组织有无可逆或不可逆损害。

(四)半数致死量的测定 半数致死量(简称LD50)是指药物引起实验动物半数死亡的剂量。由于个体差异,同一剂量的药物给同一动物,可以出现死亡或不死亡。而LD50在表示药物毒性时,比较灵敏,准确。一般以每kg多少mg表示(药物剂量/体重)

测定LD50常用动物为小白鼠,体重18-22g,雄雌均可(雌的不得怀孕)将不同性别和体重的动物均匀分成4或6组,每组10只。 给药途径和临床应用相同,给药容量以0.5ml为宜。一般观察3天,以死亡为主要指标。

1.机率单位比例法 精密称取适量的检品(如系溶液可精密量取),按等比级数(0.1、0.3、0.9……)或等差级数(0.1、0.2、0.3……)配成4种或6种浓度,分 别用于4组或6组小白鼠,观察在一定时间内死亡情况,找出使小白鼠死亡数在50%以上和50%以下的两个剂量(如各组小白鼠均无死亡或全死亡则表示剂量选择不当,须更换较高或料低剂理重试),按下列公式计算出半数致死量。

Goz9pnrj.jpg


M=高剂量的对数值

N=低剂量的对数值

A=高剂量所致小白鼠死亡百分率(大于50%)的机率单位

B=低剂量所致小白鼠死亡百分率(小于50%)的机率单位

5=50%死亡百分率的机率单位

例:乌头碱注射液急性毒性试验结果。见下表。

乌头碱注射液急性毒性试验结果

剂量(mg/kg)

剂量对数值

死亡百分率

机率单位

29.50

1.4698

90

6.28

23.75

1.3756

40

4.7

Goz9prsm.jpg


LD50=24.60mg/kg

2.简化机率单位法

(1)剂量预试:取小白鼠9只,均分3组,将被试药物分大中小3个剂量,每个剂量各给1组动物观察一定时间的死亡情况。如3组全死或全不死,应重新选择剂量再试,二至找到死亡率大于和小于50%的剂量。

(2)正式试验:取18-22g的健康小白鼠,雌雄兼有,按体重、性别均匀分组,每级10只。将预试中的找到的剂量范围按等比级数分成2-4个剂量(须有使动物死亡率大于50%和小于50%的两种剂量),剂量间的比例范围内为宜。每个剂量各给1组动物。给药生观察3天(有的可延长到7天),记录动物的一般状态和死亡数目。根据各剂量的组的死亡率,简化机率单位求出LD50,其分工如下:

Goz9pjan.jpg


式中I为相邻两剂量比值(高剂量分子)的对数:y为各组死亡率相应的机单位;y为各机率单位的平均数;X1为小剂量的对数值。

【注】用本法则定药物的LD50,在一般情况下采用两组即可,将实验果代入分组时的公式中求出。分组、4组皆可,分组多,用动物多,计算复杂,但更准确。

例:某新药,要测定对小白鼠口服给药的LD50,首先进行剂理预试,将该药物先分为700、800和1000mg/kg3种剂量,每剂量给3只小白鼠灌胃,观察2天,结果700 mg/kg组死亡1只,800 mg/kg组残废只,1000 mg/kg组全部死亡。这样,就找到了死亡率小于50%的剂量为700 mg/kg;大于50%的剂量为800和1000 mg/kg,依上述情况。估计用670和800 mg/kg可使动物死亡20% 和60%左右,两组剂量之比670/800为0.84。符合本法剂量比值范围的要求。若分组时用此两剂量可以实验;若用3组时,可按同样的剂量比求出第三组剂量,即800/0.84=952。这样,670、800和952 mg/kg3个剂理组即成等比级数,其中每相邻两剂量比均为0.84。然后各剂量的组均给10只动物,观察3天,记录动物的一般状态和死亡情况,结果如下表:

LD50实验观察表

组别

剂量(mg/kg)

剂量对数(X)

鼠数

三天内死亡数

死亡率(%)

机率单位(y)

机率单位平均值(y)

两剂量比值的对数(i)

1

670

2.8261

10

2

20

4.16

2

800

2.9031

10

8

70

5.52

5.32

0.77

3

952

2.9786

10

9

90

6.28

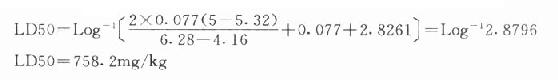
本实验分组。故代入分组时的计算公式:

Goz9pvsu.jpg