医院药学/丙二酰脲类

来自医学百科

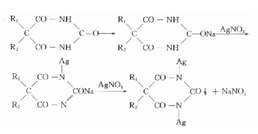
(1)取供试品约0.1g加碳酸钠试液1ml与水10ml,振摇2分钟,滤过,滤液中逐渐滴加入硝酸银试液,即发生白色沉淀,振摇,沉淀溶解,继续滴加过量的硝银试液,沉淀不再溶解。

Gp1gira5.jpg

(2)丙二酰类分子中含有一CONHCONHCO-的结构,与铜盐作用能产生类似双缩脲的颜角反应,与吡啶硫酸铜溶液作用,显紫色(ZW-ikker反应)。

Gp1gimz8.jpg