医用化学/胺类

来自医学百科

胺类是比较重要的含氮有机化合物。例如苯胺是合成药物、染料等的重要原料;胆碱是调节脂肪代谢的物质,它的乙酰衍生物——乙酰胆碱神经传导的递质乙二胺是制造EDTA的原料等。

一、胺的构造、分类和命名[编辑 | 编辑源代码]

(一)胺的构造和分类

胺可以看作是氨(NH3)分子中的氢原子被烃基取代所生成的化合物。通式为RNH2,R2NH或R3N,其中R代表脂肪烃基或芳香烃基,它们分别属于伯、仲和叔胺。

Gmony2vy.jpg


但要注意,这里的伯、仲、叔的含义与醇中的不同,它们分别是指氮原子上连有一个、两个或是三个烃基,而与连接氨基的碳是伯、仲还是叔碳原子没有关系。例如,叔丁醇是叔醇,而叔丁胺却是伯胺。

Gmonxih8.jpg


季胺化合物可看作是铵盐(NH4+X-)或氧氧化铵(NH4OH)分子中氮原子上的四个氢原子都被烃基取代生成的化合物,它们分别称为季铵盐和季铵碱。

Gmonxlhc.jpg


仲、叔胺或季铵化合物分子中的烃基可以是相同的,也可以是不同的。

在这里,应注意“氨”、“胺”及“铵”的含义。在表示基(如氨基、亚氨基等)时,用“氨”;表示NH3的烃基衍生物时,用“胺”;而铵盐或季铵类化合物则用“铵”。

胺也可以根据NH3分子中的氢原子被不同种类的烃基取代而分为脂肪胺和芳香胺。氨基与脂肪烃基相连的是脂肪胺,与芳香环直接相连的叫芳香胺。

R-NH2Ar-NH2

脂肪胺 芳香胺

胺还可以根据分子中所含氨基数目的不同而分为一元胺、二元胺和多元胺。

(二)命名

1.普通命名法

这种方法是按照分子中烃基的名称及数目叫做“某胺”。

Gmonxng5.jpg


当胺分子中氮原子上所连的烃基不同时,则按次序规则列出,小者在前,“较优”者在后。

CH3-NH-C2H5

甲乙胺

若原子上连有两个或三个相同的烃基时,则须表示出烃基的数目。

Gmonxv5a.jpg


氮原子上同时连有芳香烃基和脂肪烃基的仲胺和叔胺的命名,则以芳香胺为母体,脂肪烃基作为芳胺氮原子上的取代基,将名称和数目写在前面,并在基前冠以“N”字(每个“N”只能指示一个取代基的位置),以表示这个脂肪烃基是连在氮原子上,而不是连在芳香环上。

Gmonxmga.jpg


2.系统命名法

烃基比较复杂的胺,以烃为母体,将氨基作为取代基命名。

Gmonxuhq.jpg


季铵化合物的命名与无机铵的命名相似。

Gmonxwfy.jpg


二、胺的性质[编辑 | 编辑源代码]

(一)物理性质

胺与氨的性质很相似。低级脂肪胺是气体或易挥发的液体,具有难闻的臭味。高级胺为固体。芳香胺为高沸点的液体或低熔点的固体,具有特殊气味,难溶于水,易溶于有机溶剂。芳香胺具有一定的毒性,如苯胺可以通过消化道呼吸道或经皮肤吸收而引起中毒联苯胺等有致癌作用。因此,在处理这些化合物时应加以注意。

同氨一样,胺是极性化合物。除叔胺外,都能形成分子间氢键

Gmony29u.gif 。胺的沸点比相对分子质量相近的烃类高,但比相对分子质量相近的醇或羧酸的沸点低。叔胺氮原子上无氢原子,分子间不能形成氢键,因此沸点比其异构体的伯、仲胺低。

伯、仲、叔胺都能与水分子形成氢键Gmonxza9.jpg ,因此低级的胺

易溶于水。胺的溶解度随相对分子质量的增加而迅速降低,从6个碳原子的胺开始就难溶于水。一般胺能溶于醚、醇、苯等有机溶剂。

(二)化学性质

1.胺的碱性和成盐反应

胺中的氮原子和氨中一样,有一对未共用电子对。能接受质子,因此胺具有碱性。

Gmonxvtb.jpg


胺的碱性以碱式离解常数Kb或其负对数pKb值表示。Kb值愈大或pKb值愈小则碱性愈强;Kb值愈小或pKb值愈大则碱性愈弱。胺的碱性也可用其共轭酸铵离子的离解常数Ka或pKa来表示。Ka值愈小或pKa值愈大,则胺的碱性愈强。

在水溶液中,脂肪胺一般以仲胺的碱性最强。但是,无论伯、仲或叔胺,其碱性都比氨强。芳香胺的碱性则比氨弱。氨、甲胺、二甲胺、三甲胺和苯胺的碱性强弱次序为:

Gmonxyf5.jpg


(1)脂肪胺的碱性 影响脂肪胺碱性的因素有三个。①诱导效应——胺分子中与氮原子相连的烷基具有斥电子诱导效应(+I,Gmony0l6.jpg


,使氮上的电子云密度增加,从而增强了对质子的吸引能力,而生成的铵离子也因正电荷得到分散而比较稳定。因此,氮上烷基数增多,碱性要增强。②水化作用——在水溶液中,胺的碱性还决定于与质子结合后形成的铵离子水化的难易。氮原子上所连的氢愈多,则与水形成氢键的机会就愈多,水化程度亦愈大,铵离子就更稳定,胺的碱性也就增强。③位阻效应——胺分子中的烷基愈多、愈大,则占据空间的位置就愈大,使质子不易靠近氮原子,因而胺的碱性就降低。

因此,脂肪伯、仲、叔胺碱性的强弱是上述三个因素共同影响的结果。

(2)芳香胺的碱性 芳香胺的碱性比脂肪胺弱得多。例如苯胺的pKb=9.40,这是因为苯胺中氮原子的未共用电子对与苯环的π电子相互作用,形成一个均匀的共轭体系而变得稳定,氮原子上的电子云部分地转向苯环,因此氮原子与质子的结合能力降低,故苯胺的碱性比氨弱得多。

Gmonxhj2.jpg


芳香胺氮原子上所连的苯环愈多,共轭程度愈大,碱性也就愈弱。?

■[此处缺少一些内容]■

季铵盐是有机化合物中的强碱。它们在固态时即是离子状态,例如(CH3)4N+O-H易溶于水,其碱性与氢氧化钠氢氧化钾相当。

季铵盐和铵盐不同,前者是强碱的盐,与氢氧化钠等不发生反应。卤化季铵盐的水溶液用氧化银处理时则生成季铵碱。

Gmonxkgv.jpg


2.酯化反应

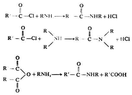
伯、仲胺都能与酰化剂(如乙酰氯、乙酸酐)作用,氨基上的氧原子被酰基取代,生成酰胺,这种反应叫做胺的酰化。叔胺因氮上没有氢,故不发生酰化反应。

Gmonxsdx.jpg


酰胺是晶形很好的固体,有一定的熔点,所以利用酰化反应可以鉴定伯胺和仲胺。叔胺不起酰化反应,故此性质可用来区别叔胺,并可以从伯、仲、叔胺的混合物中把叔胺分离出来。此外,酰胺在酸或碱的催化下,可水解游离出原来的胺。由于氨基活泼,且易被氧化,因此在有机合成中可以用酰化的方法来保护芳胺的氨基。例如:

Gmonxjhr.jpg


3.与亚硝酸反应

伯、仲、叔胺与亚硝酸反应时,产物各不相同,借此可区别三种胺。

由于亚硝酸(HNO2)是一种很不稳定的酸,所以通常用亚硝酸钠和强酸作用产生。

NaNO2+HCl→HNO2+NaCl

(1)伯胺与亚硝酸反应脂肪伯胺与亚硝酸反应,放出氮气,并生成醇、烯烃等的混合物。其反应式可简单地用下式表示:

R-NH2+HONO→ROH+N2↑+H2O

CH3-NH2+HONO→CH3OH+N2↑+H2O

由于此反应能定量地放出氮气,故可用于伯胺及氨基化合物的分析。

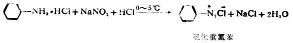
芳香族伯胺与脂肪伯胺不同,在低温和强酸存在下,与亚硝酸作用则生成芳香族重氮盐,这个反应称为重氮化反应。例如:

Gmonxqn3.jpg


芳香重氮盐比脂肪重氮盐稳定,如在5℃以下,氯化重氮苯在水溶液中不会分解但温度升高,使分解放出氮气,同时生成酚类化合物。

Gmonxttl.jpg


芳香重氮盐化学性质很活泼,是有机合成的重要中间体。例如,通过重氮盐的反应,可以制备许多芳香族化合物。芳香重氮盐的反应主要分为放氮反应和偶合反应两大类。

放氮反应:重氮基Gmonxx32.jpg )在不同条件下,可被羟基、卤素、氰

基、氢原子等取代,生成相应的芳香族衍生物,放出氮气。因此,利用这些反应可以从芳香烃开始合成一系列芳香族化合物。

Gmonxt3c.jpg


偶合反应:重氮盐与酚类或芳香叔胺作用,生成有颜色的偶氮化合物,这个反应称为偶合反应。

Gmonxpmb.jpg


重氮盐与酚或芳香胺偶合时,如果羟基或氨基的对位有其它原子或原子团,则可在邻位偶合;如果对位及邻位都有取代基时,则不发生反应。

偶氮化合物都有颜色。许多偶氮化合物可用作染料,称为偶氮染料,有些偶氮化合物的颜色能随溶液PH值的不同而变化,这些化合物可用作酸碱指示剂。例如甲基橙。

(2)仲胺与亚硝酸反应脂肪仲胺和芳香族仲胺与亚硝酸作用生成N-亚硝基胺。

Gmonxxpg.jpg


N-亚硝基胺为黄色的中性油状物质,不溶于水,可从溶液中分离出来;与稀酸共热则分解为原来的仲胺,故可利用此性质鉴别、分离或提纯仲胺。

N-亚硝基胺是较强的致癌物质。

(3)叔胺与亚硝酸反应脂肪叔胺因氮上没有氢,与亚硝酸作用时只能生成不稳定的亚硝酸盐。

Gmonxzxe.jpg


芳香族叔胺与亚硝酸作用,发生环上取代反应,在芳香环上引入亚硝基,生成对亚硝基取代物,在酸性溶液中呈黄色,若对位上已有取代基,则亚硝基取代在邻位。Gmonxgj8.jpg


由于三种胺与亚硝酸的反应不同,所以可利用与亚硝酸的反应鉴别伯、仲、叔胺。

三、重要的胺及其衍生物[编辑 | 编辑源代码]

(一)苯胺

苯胺是最简单也是最重要的芳香伯胺,是合成药物,染料等的重要原料。苯胺为油状液体,沸点184℃,微溶于水,易溶于有机溶剂。新蒸馏的苯胺无色,但久置会因氧化而颜色变深。苯胺有毒,能透过皮肤或吸入蒸气使人中毒。因此,接触苯胺时应加注意。

(二)胆碱

胆碱[(CH33NCH2CH2OH]OH-是一种季铵碱,广泛存在于生物体中,在脑组织和蛋黄中含量较多,是卵磷脂(见第二十章)的组成部分。胆碱为白色结晶,吸湿性强,易溶于水和乙醇,而不溶于乙醚氯仿等。它在体内参与脂肪代谢,有抗脂肪肝的作用。

胆碱分子中醇羟基的氢原子被乙酰基取代所生成的酯叫做乙酰胆碱[CH3COOCH2CH2N(CH3)3]OH-,是神经传导的递质。

(三)新洁尔灭

Gmonxogs.jpg


新洁尔灭(溴化二甲基十二烷基苄基铵)

在常温下,新洁尔灭为微黄色的粘稠液,吸湿性强,易溶于水和醇。水溶液呈碱性。新洁尔灭是具有长链烷基的季铵盐,属阳离子型表面活性剂,也是消毒剂。临床上上用于皮肤、器皿及手术前的消毒