医用化学/比色测量仪器

来自医学百科

(一)比色测量仪器的基本部件

比色测量仪器一般包括以下五大部件(图8-4)。

比色测量仪器部件示意图


图8-4 比色测量仪器部件示意图

1.光源

在光电比色计和可见光分光亮度计中,采用6~12V的钨灯,其最适宜的波长范围是360~1000nm,为使光的强度稳定,须用稳压装置来稳定电压。

2.波长控制器

在光电比色计中采用滤光片作为波长控制器。滤光片是有色玻璃片,其作用是从光源发出的连续光谱中分出实验所需的某一特定波长范围的光,即获得适当波长的近似单色光。

选择滤光片的原则是滤光片最易透过的光,也就是溶液最易吸收的光。即滤光片的颜色与溶液的颜色应互为补色,这是因为有色溶液对它的互补色光有最大的吸收。581-G型光电比色计通常只有红、绿和蓝三块滤光片。例如,要测定KMnO4溶液,就应选用绿色滤光片。

分光光度计采用单色器来控制波长。它可以把连续波长的光分解,从中得出任一所需波长的更纯的单色光。单色器包含有狭缝调节、透镜系统以及色散元件。

图8-5为自准式单色光器。光源发出的光经入射狭缝由凹面准直镜反射后的平行光投在棱镜上,经棱镜色散后的光又经准直镜反射到出射狭缝,转动棱镜便可在出射狭缝得到所需波长的单色光。

自准式单色光器示意图


图8-5 自准式单色光器示意图

硒光电效应示意图


图8-6 硒光电效应示意图

3.吸收池

吸收池供比色时盛溶液用,它是用无色透明、厚度均匀的玻璃制成的。其透光的两面严格平行。同一系列的测定中,所用的比色皿必须配套,即同一配套比色皿盛有同一溶液在同一波长时测得的透光率误差不得越过0.5%。实验时可根据溶液的浓度不同选择。0.5,1.0,2.0,3.0cm不同规格的比色皿。比色皿要保持清洁,透光面要注意保护,不得用手直接接触或用粗糙的滤纸擦拭,以免划伤表面,影响吸收程度。若外壁有液珠,应用滤纸吸干后再用擦镜纸擦净。

4.光电转换器

它是将光能转换成电信号的器件,常用的有光电池和光电管。

光电池常用的硒光电池如图8-6,适用 于380~750nm波长范围。当光线照射到光电池时,电子从半导体表面逸出。由于硒的半导体特性而在电路中产生光电流。将光电池与一个灵敏检流计相联,在照射光强度不太大且外电路电阴很小时,光电流大小与照射光的强度成正比。因此可根据光电流的大小测量透过溶液的光强度。

硒光电池的优点是光电流较大,可不必经过放大而直接用灵敏检流计测量。有时当光电池受强光照射或连续使用时间太长时,容易产生“疲劳”,这时需使其在暗的状态下暂作恢复,方可继续使用。

光电管由封装在真空透明管中的一个半圆柱型阴极和一个丝状阳极组成(图8-7)。阴极凹面有光电发射材料层,被光照射可发电子。当两极间加有电压时,发射出来的电子就流向阳极产生光电流。发射出的电子数目与射在该表面上光束的强度成正比。光电管产生的电流啼弱,经放大器放大后可由微安电表直接指示出吸光度或透光率。

光电管线路示意图


图8-7 光电管线路示意图

吸光度和透光率标尺


图8-8 吸光度和透光率标尺

5.检流计

用光电池作光电转换器的比色测量仪器中,检流计一般采用悬镜式光电反射检流计,其灵敏度较高,能测量10-9A(安培)的电流。检流计有吸光度A和百分透光率T(%)两种刻度标尺,可直接读数(图8-8)。

标尺上透光率T是等分的而吸光度A的刻度是不均匀的。透光率T可用小数或百分率表示。A与T的关系可推导为:

Gmogv5wu.jpg


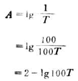
例如,已知某溶液对某一波长的光吸光度为0.04,其透光率可由下面方法求得。

0.04=-lgT

lgT=-0.40

T=0.398=39.8%

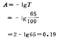
又如,已知某溶液对某一波长光的透光率为65%,吸光度为:

581-G型光电比色计光学线路示意图


对于用光电管作光电转换器的仪器,由于加了放大器,可方便地连接微安电表、记录仪,数字显示器等指示器,也可以调节电桥平衡的方式读数取数据。

(二)比色测量仪器

1.光电比色计

光电比色计用光电池和检流计测量透射光的强度并直接可读出百分透光率T(%)或吸光度A。图8-9是581-G型光电比色计的示意图。它是利用滤光片把钨灯产生的白光中与测定无关的光除去,使入射光尽可能是接近溶液补色的单色光,从而提高了比色分析的准确度。

721型分光光度计光学系统示意图


图8-9 581-G型光电比色计光学线路示意图

图8-10 721型分光光度计光学系统示意图1.光源 2.,8.聚

光透镜 3.棱镜 4.准直镜5.,11.保护玻璃 6.入射狭缝 7.

平面镜 9.吸收池10.光门 12.光电管 13.光栅

2.721型分光光度计

721型分光光度计的工作波长范围为360-800nm。采用真空光电管作为光电能量转换元件,在整个可见光区都比较灵敏。同时采用晶体管放大电路和电表直读结构,仪器的灵敏度和稳定性都比较好。

图8-10为721型分光光度计的光学系统示意图。由光源发出的连续辐射于聚光镜上,经平面镜转角90度反射到入射狭缝,射入单色器。入射光经过准直镜反身射在出射狭缝上,再经过聚光透镜后进入比色皿。经溶液吸收后的透射光通过光门照射在光电管上转换为光电流信号,经过入大后输入检流计,由电表直接显示吸光度。