医用化学/朗伯-比尔(Lambert-Beer)定律

来自医学百科

 [编辑 | 编辑源代码]

 

当一束平行单色光(只有一种波长的光)照射有色溶液时,光的一部分被吸收,一部分透过溶液(图8-2)。

光吸收示意图


图8-2 光吸收示意图

设入射光的强度为I0,溶液的浓度为c,液层的厚度为b,透射光强度为I,则

Gmogukla.jpg (8-1)

式中lgI0/i 表示光线透过溶液时被吸收的程度,一般称为吸亮度(A)或消亮度(E)。因此,上式又可写为:

A=Kcb(8-2)

上式为朗伯-比尔定律的数学表示式。它表示一束单色光通过溶液时,溶液的吸光度与溶液的浓度和液层厚度的乘积成正比。

式中,K为吸光系数,当溶液浓度c和液层厚度b的数值均为1时,A=K,即吸光系数在数值上等于c和b均为1时溶液的吸光度。对于同一物质和一定波长的入射光而言,它是一个常数。

比色法中常把Gmogulnb.jpg


称为透光度,用T表示,透光度和吸光度的关

系如下:

Gmogujmt.jpg (8-3)

当c以mol.L-1为单位时,吸光系数称为摩尔吸光系数,用ε表示,其单位是L.mol-1.cm-1。当c以质量体积浓度(g.ml-1)表示时,吸光系数称为百分吸光系数,用E1%1cm表示,单位是ml.g-1.cm-1。吸光系数越大,表示溶液对入射光越容易吸收,当c有微小变化时就可使A有较大的改变,故测定的灵敏度较高。一般ε值在103以上即可进行比色分析。

如果测定某种物质对不同波长单色光的吸收程度,以波长为横坐标,吸光度为纵坐标作图可得一条曲线,即物质对光的吸收曲线,可准确地描述物质对光的吸收情况。

图8-3是几种不同浓度的KMnO4溶液的吸收曲线,溶液对波长525nm附近的绿光吸收量最强,而对其他波长的光吸收较弱。光吸收程度最大处的波长叫做吸收波长,用λmax表示。不同浓度的KMnO4溶液所得的吸收曲线,最大吸收波长都一致,只是相应的光被吸收的程度不同。

吸收曲线可作为比色分析中波长选定的依据,测定时一般选择λmax 的单色光作为入射光。这样即使被测物质含量较低也可得到较大的吸光度,因而可使分析的灵每度较高。

若所测定的溶液无色,可在测定前加入适当的显色剂,通过与待测成分的化学反应使溶液晱色即可测定此待测成分。

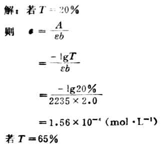
例如, 已知在525nm处KnO4溶液的ε=2235L. mol-1.cm-1,若用2cm比色皿,为使所测得的透光率介于20%~65%之间,溶液的浓度范围应是多少?

KMnO4液的吸收光谱曲线


图8-3 KMnO4液的吸收光谱曲线

解:若T=20%

Gmoguhkz.jpg


则 c=-lg65%/2235*2.0=4.19*10-5(mol.L-1)