伊维菌素

来自医学百科

伊维菌素

Bk4s5.jpg

Ivermectin

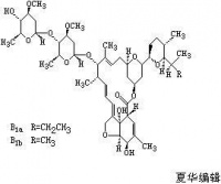
是由阿维链霉菌(streptomyces avermitilis)发酵产生的半合成大环内酯类多组分抗生素。主要含伊维菌素B1(Bla+B1b )不低于93%,其中Bla不得少于85%。

伊维菌素B1即22,23-双氢阿维菌素B1

本品为白色结晶性粉末;无味。本品在甲醇乙醇丙酮醋酸乙酯中易溶,在水中几乎不溶。  

药理[编辑 | 编辑源代码]

(l)药效学 伊维菌素是新型的广谱、高效、低毒抗生素类抗寄生虫药,对体内外寄生虫特别是线虫和节肢动物均有良好驱杀作用。但对绦虫吸虫原生动物无效。

大环内酯类抗寄生虫药对线虫及节肢动物的驱杀作用,在于增加虫体的抑制性递质γ-氨基丁酸〔GABA)的释放,以及打开谷氨酸控制的Cl离子通道,增强神经膜对Cl的通透性,从而阻断神经信号的传递,最终神经麻痹,使肌肉细胞失去收缩能力,而导致虫体死亡。

由于吸虫和绦虫不以GABA为传递递质,并且缺少受谷氨酸控制的Cl通道。故本类药物对其无效。哺乳动物的外周神经递质乙酰胆碱,GABA虽分布于中枢神经系统,但由于本类药物不易透过血脑屏障,而对其影响极小,因此使用时就比较安全。

本类药物影响寄生虫生殖的机理还不太清楚,但能使蜱减少产卵反刍兽线虫虫卵形态

异常和使丝状线虫(雄、雌性)不育

(2)药动学 伊维菌素的药代动力学因畜种、剂型和给药途径不同而有明显差异。以血浆半衰期为例,给牛、绵羊静脉注射300μg/kg量,t1/2虽然差别不大(分别为2.8天和2.7天),但羊的血浆浓度较低是由于表观分布容积大于牛所致。伊维菌素在犬体内排泄较快(t1/2=1.6~1.8天)。猪的半衰期长达4天。 

用美国专用的商品制剂给牛皮下注射(200μg/kg),由于从注射局部缓慢吸收,而半衰期延长(t1/2=8天),.48h血药达峰值,据临床驱虫效果观察,药效能维持2周。绵羊内服后的半衰期为3~5天,24h后达血药峰值。

犬内服(100μg/kg)片剂,2~4h内血药达峰值(40ng/mL)。猪血药峰值到达时间,内服(0.5天)比皮下注射(2天)快,但皮下注射的生物利用度比内服要高得多,通常内服时的生物利用度仅为注射法的41%。

两种不同剂型(糊剂和水性微胞专用剂型)的伊维菌素给马内服,血药峰值出现时间,不仅水性微胞制剂(4~5h)比糊剂(15h)快得多,而且生物利用度亦高。(糊剂仅为水性微胞剂的20%)。

吸收后伊维菌素广泛分布于全身组织,并以肝脏脂肪组织中浓度最高。伊维菌素通常在肝脏中氧化成代谢产物。

伊维菌素在5~6天内经粪便排泄的占90%以上,经尿排泄仅占0.5%~2%。  

用途[编辑 | 编辑源代码]

伊维菌素广泛用于牛、羊、马、猪的胃肠道线虫、肺线虫和寄生节肢动物,犬的肠道线虫,耳螨、疥螨、心丝虫和微丝蚴,以及家禽胃肠线虫和体外寄生虫

(l)牛、羊 伊维菌素按0.2mg/kg量给牛、羊内服或皮下注射,对血矛线虫、奥斯特线虫、古柏线虫、毛圆线虫(包括艾氏毛圆线虫)、圆形线虫、仰口线虫、细颈线虫、毛首线虫、食道口线虫、网尾线虫以及绵羊夏伯特线虫成虫及第4期幼虫、驱虫率97%~100%。上述剂量对节肢动物亦很有效:如蝇蛆〔牛皮蝇、纹皮蝇、羊狂蝇)、螨(牛疥螨、羊痒螨)和虱(牛腭虱、牛血虱和绵羊腭虱)等。伊维菌素对嚼虱(毛虱属)和绵羊羊蜱蝇疗效稍差。

伊维菌素对蜱以及粪便中繁殖的蝇也极有效,药物虽不能立即使蜱死亡或肢解,但能影

响摄食、蜕皮和产卵,从而降低生殖能力。一次给动物皮下注射0.2mg/kg或每天喂低浓度

(0. 01mg/kg)药物后5天时,蜱出现上述现象最为明显。按0.2mg/kg剂量一次皮下注射对在粪便中繁殖的蝇也有一定的控制作用,牛用药9天后其粪便中面蝇、秋家蝇幼虫不能发育成虫,再过5天,由于蛹的畸型和成虫成熟过程受阻而使蝇的繁殖大为减少,对血蝇(扰血蝇)用上述剂量,4周后情况相似。

(2)马 马内服0.2mg/kg伊维菌素对下列属大型和小型圆形线虫的成虫及第4期幼虫均有高效(95%~100%);如大型圆形线虫(普通圆形线虫、马圆形线虫、无齿圆形线虫)、蛔虫(马副蛔虫)、蛲虫(马尖尾线虫)、胃虫(大口德拉西线虫、柔线属线虫)、小肠线虫(艾氏毛圆线虫、韦氏类圆线虫)、肺线虫(安氏网尾线虫)等。对移行或胃居留期的三种马胃蝇蛆,引起皮肤损伤的盘尾丝虫微丝蚴以及胃线虫第三期幼虫,虽然一次应用0. 2mg/kg量也很有限,但最佳方案是在一个月后按上述量再用药一次。

特别有重要意义的是,伊维菌素推荐剂量(0.2mg/kg) 对普通圆形线虫早期和第4期幼虫,移行期造成的肠系膜动脉损害治疗的有效率约为99%,通常用药2天后,症状明显减轻,约28天损害症状全部消失。

(3)猪 肌内注射0.3mg/kg伊维菌素对猪具广谱驱虫活性。如猪蛔虫、红色猪圆线虫、兰氏类圆线虫、猪毛首线虫、食道口线虫、后圆线虫、有齿冠尾线虫成虫及未成熟虫体驱除率达94%~100%,对肠道内旋毛虫(肌肉内无效)也极有效。上述用药法对猪血虱和猪疥螨也有良好控制作用。

(4)犬、猫 国外有专用剂型〔按6~12μg/kg量)用于防治犬心丝虫微丝蚴感染,我国可试用50μg/kg内服法治疗心丝虫微丝蚴虫感染(成虫无效)。临床试验证实,高剂量伊维菌素对犬多种寄生虫有高效,如一次皮下注射50μg/kg对犬钩口线虫、巴西钩口线虫、欧洲犬钩口线虫,100μg/kg对犬鞭虫,200μg/kg对犬弓首蛔虫成虫及第四期幼虫均有极佳驱只效果。对狮弓蛔虫,按200μg/kg量,皮下注射疗效仅69%,而内服则达95%。本品一次皮下注射,对犬寄生于肺部的嗜气毛细线虫(200μg/kg)、奥氏欧斯勒线虫(400μg/kg)也有极佳驱除效果。内服或皮下注射200μg/kg,两周后再用一次,对肠道粪类圆线虫(第3期幼虫除外)有效率95%~100%。

伊维菌素对犬、猫的某些节肢动物感染也有效,犬、猫皮下注射200μg/kg剂量,两周后再用一次能排除耳螨、疥螨、犬肺刺螨的感染。按300μg/kg量,连用两次(间隔2周)对姬螯螨感染也很有效。治疗犬蠕形螨病最好按600μg/kg皮下注射量,间隔7天.连用5次。

(5)禽 对家禽线虫如鸡蛔虫和封闭毛细线虫以及家禽寄生的节肢动物,如膝螨(突变膝螨)等,按200~300μg/kg量内服或皮下注射均有高效。但本品对鸡异刺线虫无效。

(6)驯鹿 对驯鹿的牛皮蝇蛆(Oedemagena tarandi)感染,按牛用量(200μg/kg)皮下注射即可。  

药物相互作用[编辑 | 编辑源代码]

伊维菌素商品制剂中含有的不同佐剂能影响药物的作用,如绵羊内服含吐温-80做佐剂的制剂,伊维菌素用量达4000μg/kg时,仍很安全,但若以丙二醇做佐剂时则使绵羊持续3天出现共济失调血红蛋白尿。美国含吐温-80做佐剂的依维菌素注射剂是马属动物专用商品制剂,但不能用于犬,否则亦极不安全。  

功能主治[编辑 | 编辑源代码]

本品为阿维菌素的衍生物,属口服半合成的广谱抗寄生虫药。本品对各种生命周期的大部分线虫(但非所有线虫)均有作用 ;对盘尾丝虫的微丝蚴有效,但对成虫无效 ;对仅处于肠道的粪圆线虫也有效。 本品具有选择性的抑制作用,通过与无脊柱动物神经细胞与肌肉细胞中谷氨酸为阀门的氯离子通道的高亲和力结合,从而导致细胞膜对氯离子通透性的增加,引起神经细胞或肌肉细胞超极化,使寄生虫麻痹或死亡。本品亦可与其它配体阀门(如神经递质g-氨基丁酸(GABA))的氯离子通道相互作用。 本品的选择性是因为一些哺乳动物体内没有谷氨酸 - 氯离子通道,且阿维菌素对哺乳动物配体 -氯离子通道仅有低亲和力。本品不能穿透人的血脑屏障。 盘尾丝虫病类圆线虫病钩虫、蛔虫、鞭虫、蛲虫感染。  

用法用量[编辑 | 编辑源代码]

类圆线虫病 推荐剂量是单剂量口服200 μg/kg,用水送服。通常情况下无需加量,但需随访以保证根治。常用剂量如下: 15-24 kg者,剂量为半片(约3 mg); 25-34 kg者,剂量为1片(约6 mg); 35-50 kg者,剂量为1片半(约9 mg); 51-65 kg者,剂量为2片(约12 mg); 66-79 kg者,剂量为2片半(约15 mg);大于80 kg者,200 μg/kg。 盘尾丝虫病 推荐剂量是单剂量口服150 μg/kg,用水送服。常用剂量如下: 15-24 g者,剂量为半片(约3 mg); 25-44 kg者,剂量为1片(约6 mg); 45-64 kg者,剂量为1片半(约9 mg); 65-84 kg者,剂量为2 片(约12 mg);大于80 kg者,150 μg/kg。 钩虫感染 14岁以上者单次口服12 mg(相当于 0.2 mg/kg);14岁以下者单次口服6 mg。蛔虫感染 14岁以上者单次口服6 mg(相当于0.1 mg/kg),14岁以下者单次口服3 mg。鞭虫感染 14岁以上者单次口服12 mg(相当于0.2 mg/kg);14岁以下者单次口服6 mg。蛲虫感染 14岁以上者单次口服12 mg(相当于0.2 mg/kg);14岁以下者单次口服6 mg。 用药过量:症状 本品应按规定剂量使用。如过量使用,可能产生包括共济失调、呼吸缓慢、震颤、眼睑下垂、活动减少、呕吐瞳孔散大。 处理 如发生药物过量,应尽快催吐及洗胃,如需要可再给导泻药及进行其它常规抗毒治疗。如发生意外中毒,可根据需要进行支持疗法(包括补充体液及电解质,氧气或进行机械性通气)。如出现临床明显低血压应给予升压药。

不良反应: 超剂量可引起中毒,无特效解毒药。肌内注射会产生严重的局部反应。  

注意事项[编辑 | 编辑源代码]

有关历史资料说明,抗丝虫药物 [例如乙胺嗪枸橼酸盐(DEC-C)]可引起盘尾丝微丝幼虫病人皮肤和(或)全身严重的变态反应(Mazzotti反应)及眼科反应。这些反应可能是由于死亡的微丝幼尸体引起的过敏与炎症反应。用伊维菌素治疗盘尾微丝幼虫病人在临床上可能出现这些反应,也许或肯定与药物本身有关。 用杀微丝蚴药物治疗后,出现过敏性盘尾丝虫性皮炎的患者更易发生严重不良反应,尤其是水肿及盘尾丝虫性皮炎加剧致癌性、致突变性及生殖毒性。 类圆线虫病患者在使用本品时,必须重复进行粪检以确定类圆线虫感染已得到清除。 本品不能杀死盘尾丝虫成虫,因而采用本品治疗盘尾丝虫病时,需持续治疗。 免疫缺陷宿主的类圆线虫病:免疫缺陷(包括HIV感染)的病人可能需要重复治疗肠道类圆线虫病。对于这类病人尚没有进行临床试验以确定可供选择的剂量方案,抑制治疗(如每月一次)可能会有作用。