乙胺丁醇
乙胺丁醇是一种化学合成的白色、溶解于水,而且耐热的晶体。它能影响结核杆菌菌体核糖核酸的合成而具有杀抑作用,医生们把乙胺丁醇主要用于对链霉素和对氨水杨酸钠有反应或禁忌的病人。
药物信息[编辑 | 编辑源代码]
药物名称: 乙胺丁醇
药物别名: 暂无
英文名称: Ethambutol
药物说明: 片剂:每片0.25g。
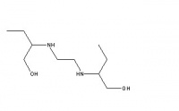
主要成分:[2R,2[S-(R*, R*)]-R]-(+)2,2′-(1,2-乙二基二亚氨基)-双-1-丁醇二盐酸盐
分子式: C10H24N2O2.2HCl
分子量:277.23
性状特征: 白色粉末
药理作用[编辑 | 编辑源代码]
本品为合成抑菌抗结核药。其作用机理尚未完全阐明。本品可渗入分技杆菌体内干扰RNA的合成从而抑制细菌的繁殖,本品只对生长繁殖期的分技杆菌有效。
药代动力学[编辑 | 编辑源代码]
口服后经胃肠道的吸收75~80%。
广泛分布于全身各组织和体液中(除脑脊液外)。红细胞内药浓度与血浆浓度相等或为其2倍,并可持续24小时;肾、肺、唾液和尿液内的药浓度都很高;但胸水和腹水中的浓度则很低。本品不能渗入正常脑膜,但结核性脑膜炎患者脑脊液中可有微量。其分布容积为1.6L/kg。蛋白结合率约10~30%。口服2~4小时血药浓度可达峰值,T1/2为3~4小时,肾功能减退者可延长至8小时。主要经肝脏代谢,约15%的给药量代谢成为无活性代谢物。经肾小球滤过和肾小管分泌排出:给药后约80%在24小时内排出,至少50%以原形排泄,约15%为无活性代谢物。在粪便中以原形排出约20%。在乳汁中的药浓度约相当于母血药浓度。相当量的乙胺丁醇可经血液透析和腹膜透析从体内清除。
功能主治[编辑 | 编辑源代码]
对结核杆菌和其他分支杆菌有较强的抑制作用。口服吸收约80%,血药浓度达峰时间2~4小时,蛋白结合约40%,在体内仅有10%左右的药物代谢成为非活性物,主要经肾排泄。与其他抗结核药间无交叉耐药性。但结核杆菌对本品也可缓慢产生耐药性。 为二线抗结核药,可用于经其他抗结核药治疗无效的病例,常与其他抗结核药联合应用。以增强疗效并延缓细菌耐药性的产生。对细胞内结核无效
用法用量[编辑 | 编辑源代码]
1.成人常用量与其他抗结核药合用,结核初治,按体重15mg/kg,每日一次顿服;结核复治,按体重25mg/kg每日一次顿服,连续60天,继以按体重15mg/kg,每日一次顿服。非典型分技杆菌感染,每日—25mg/kg,一次顿服,与其他抗结核药合用。2,小儿常用量13岁以下不宜应用本品;13岁以上儿童用量与成人相同。如发生胃肠道刺激,乙胺丁醇可与食物同服。一日剂量分次服用可能达不到有效血药浓度,因此本品宜一次顿服。乙胺丁醇单用时细菌可迅速产生耐药性,因此本品必须与其他抗结核药联合应用。本品用于曾接受抗结核药的患者时,应至少与一种二线药物合用,例如乙硫异烟胺或环丝氨酸等。治疗必须持续1一2年,有时甚至数年或无限期用药。此外,乙胺丁醇与异烟肼联合间歇疗法曾获满意疗效,剂量为按体重用乙胺丁醇50mg/kg与异烟肼15mg/kg,每周给药2次。鉴于目前尚未切实可行的测定血药浓度方法,剂量应根据患者体重计算。肝或肾功能减退的患者,本品血药浓度可能增高,半衰期延长。有肾功能减退的患者应用本品时需减量。治疗期间应检查:①眼部,视野、视力、红绿鉴别力等,在用药前、疗程中每日检查一次,尤其是疗程长,每日剂量超过15mg/kg的患者;②血清尿酸测定,由于本品可使血清尿酸浓度增高,引起痛风发作。因此在疗程中应定期测定。
不良反应[编辑 | 编辑源代码]
(1)发生率较多者为视力模糊
、眼痛、红绿色盲或任何视力减退(视神经炎:每日按体重剂量25mg/kg以上时易发生)。(2)发生率较少者为畏寒、关节肿痛(尤其大趾、髁、膝关节)、病变关节表面皮肤发热拉紧感(急性痛风、高尿酸血症)。(3)发生率极少者为麻木,针刺感、烧灼痛或手足软弱无力(周围神经炎)。可引起胃肠道反应:恶心,呕吐,食欲不振,腹胀,腹泻.个别病例有抑郁、头痛、皮疹、脱发、关节痛、痤疮,转氨酶升高、肝损害、下肢发麻、关节痛及幻觉、不安、失眠等精神症状.剂量过大,体位性低血压、高尿酸血症、剥脱性皮炎、视物模糊、抽搐、甚至出现失明。
药物禁忌[编辑 | 编辑源代码]
(1)乙胺丁醇可透过胎盘,胎儿血药浓度约为母亲血药浓度的30%。本品在小鼠实验中高剂量可引起膀裂、脑外露和脊柱畸形等;大鼠中本品高剂量可引致轻度颈椎畸形;在家兔中本品高剂量可引起独眼畸形、短肢、兔唇和腭裂等畸形。虽然在人类中未证实有问题,孕妇应用仍须充分权衡利弊。本品和其他药物合用时对胎儿的影响尚未阐明。(2)乙胺丁醇可分泌至乳汁,浓度与血药浓度相近,虽然在人类中未证实有问题,哺乳期妇女用药须权衡利弊。(3)下列情况应慎用:痛风、视神经炎、肾功能减退。(4)13岁以下儿童尚缺乏临床资料,老年人往往伴有生理性肾功能减退,故应按肾功能调整用量。乙醇中毒者、乳幼儿禁用本品。糖尿病患者必须在控制糖尿病的基础上方可使用本品。已发生糖尿病性眼底病变者慎用本品,以防眼底病变加重。
注意事项[编辑 | 编辑源代码]
1、视觉神经炎。主要在应用剂量较大的病人中出现,可以有视物模糊,视物时出现中心盲点,视野(视物范围)缩小等。
2、胃肠道不适,食欲减退,肝功能出现异常,有的还可以有过敏性皮炎及肌肉酸痛和关节疼痛。
3、有时会影响肾脏功能,对于孕妇、婴幼儿及有癫痫的病人要谨慎使用,用前最好作有关检查,用时要严密观察副反应的出现,对于严重的副反应,应该在医师的指导下及时停药。
相互作用[编辑 | 编辑源代码]
(1)与乙硫异烟胺合用可增加副作用。(2)与氢氧化铝同用能降低乙胺丁醇的吸收。(3)与神经毒性药物合用可增加本品神经毒性,如视神经炎或周围神经炎。
盐酸乙胺丁醇胶囊[编辑 | 编辑源代码]
英文名EthambutolHydrochlorideCapsules
类别西医药物
药理作用[编辑 | 编辑源代码]
1.药理本品为人工合成抑菌性抗结核药。对生长繁殖期细菌具较强活性,对静止期细菌几无作用。对各型分枝杆菌具高度抗菌活性。结核杆菌对本品与其他药物之间无交叉耐药现象。本品的作用机制尚未完全阐明,可能与抑制敏感细菌的代谢,抑制RNA的合成,干扰结核杆菌蛋白代谢,从而导致细菌死亡。2.毒理本品大剂量时在小鼠试验中可引致腭裂、脑外露和脊柱畸形等;在大鼠试验中可引致轻度颈椎畸形;在家兔试验中可引致独眼、短肢和腭裂等。本品为胶囊剂。
动力学[编辑 | 编辑源代码]
本品口服后经胃肠道吸收75%~80%,达峰时间2~4小时。在体内各组织中分布广泛,可浓集在红细胞(红细胞内浓度可达血药浓度的2~3倍)、肾、肺、唾液和尿液中,在胸水、腹水浓度极低。脑脊液中药物浓度约为血药浓度20%~80%,表观分布容积(Vd)为1.6~3.9L/kg,蛋白结合率约10%~30%。血消除半衰期(T1/2a)为2.5~4小时,肾功能减退者可延长至7~15小时,故应进行剂量调整。约10%~20%的本品在肝脏代谢,本品经肾小球滤过和肾小管分泌排出,给药后约50%~90%药物以原型在24小时内经肾排出,约15%为无活性代谢物,肾清除率(ClR)为5.93~8.45ml/分/kg。在粪便中以原形排出约20%。乳汁中的药物浓度约相当于母体血药浓度。血液透析和腹膜透析可清除本品。
适应症[编辑 | 编辑源代码]
本品适用于与其他抗结核药联合治疗结核分枝杆菌所致的肺结核和肺外结核,亦可用于非典型结核分枝杆菌感染的治疗。
用法用量[编辑 | 编辑源代码]
需与其他抗结核药物联合使用。1.初治:口服,按体重15mg/kg,一日1次;或一次~30mg/kg,最高2.5g,一周3次;或按体重50mg/kg,最高2.5g一周2次。2.复治:口服,按体重25mg/kg,一日1次,连续60天后,继以按体重15mg/kg,一日1次。3.非典型结核分枝杆菌感染:按体重15~25mg/kg,一日1次。
不良反应[编辑 | 编辑源代码]
1.常见视神经损害,如球后视神经炎、视神经中心纤维损害。可能与本品同铜、锌等金属元素螯合后引起这些金属元素含量下降有关。球后视神经炎发生率约0.8%,与剂量、疗程有关,长期服药、每日剂量大于25mg/kg时易于发生,每日剂量15mg/kg发生率为1%,25mg/kg为6%,35mg/kg增至15%。表现为视力模糊、眼痛、红绿色盲或视力减退、视野缩小。上述反应早期发现和及时停药则可于数周或数月内自行消失,永久性视觉功能丧失极少发生。2.少见畏寒、关节肿痛(尤其大趾、髁、膝关节)和病变关节表面皮肤发热拉紧感(急性痛风、高尿酸血症)。3.偶见胃肠道不适、恶心、呕吐、腹泻、肝功能损害、周围神经炎(常表现为麻木、针刺感、烧灼痛或手足软弱无力)和过敏反应(常表现为皮疹、瘙痒、头痛、发热、关节痛)等。
禁忌[编辑 | 编辑源代码]
对本品过敏者、已知视神经炎患者、乙醇中毒者、及年龄<13岁者应谨慎使用。
注意事项[编辑 | 编辑源代码]
1.痛风、视神经炎、糖尿病眼底病变、肝、肾功能减退患者慎用。肾功能减退的患者应减量。2.单用本品细菌可迅速产生耐药性,因此必须与其他抗结核药联合应用。3.治疗期间应检查:(1)眼部,视野、视力、红绿鉴别力等,在用药前、疗程中每月检查一次,尤其是疗程长、每日剂量超过15mg/kg的患者。(2)由于本品可使血中尿酸浓度增高,引起痛风发作,因此在疗程中应定期测定血清尿酸。4.对诊断的干扰:服用本品可使血尿酸浓度测定值增高。5.如发生胃肠道刺激,本品可与食物同服。一日剂量分次服用可能达不到有效血药浓度,因此本品一日剂量宜1次服用。13岁以下儿童尚缺乏临床资料,由于在幼儿中不易监测视力变化,故本品不宜用于13岁以下小儿;13岁以上小儿用量与成人相同。1.由于本品可透过胎盘,胎儿血药浓度约为母体血药浓度的30%,动物实验显示本品可致畸形,虽然在人类中未证实有问题,但孕妇仍应禁用本品,如确有服用指征时须充分权衡利弊。2.本品可分泌至乳汁,浓度与母体血药浓度相近,故哺乳期妇女禁用本品,如确有服用指征需暂停授乳。老年患者因生理性肾功能减退,故应按肾功能调整用量。
过量处理1.药物过量主要表现为中所述症状,重症者可发生永久性视神经萎缩。2.药物过量的处理:(1)停药。(2)对症处理:①球后视神经炎者可用维生素B6、复合维生素及锌铜制剂等。②恢复视力,可选用地塞米松5mg,每日静滴或球后注射;妥拉苏林12.5mg,每日球后注射;氢化可的松200mg,每日静滴。也可口服强的松20mg,每日~3次。同时给予维生素等。恢复期可予针刺治疗,口服地巴唑、烟酸等,或胎盘组织液每日肌内注射。③必要时进行血液透析和腹膜透析。
相互作用[编辑 | 编辑源代码]
1.铝盐,包括DDI缓冲液可减少本品的吸收。2.本品与维拉帕米合用可减少后者的吸收。3.与神经毒性药物合用可增加本品的神经毒性,如视神经炎或周围神经炎。4.与乙硫异烟胺合用可增加黄疸性肝炎、视神经炎等不良反应。
盐酸乙胺丁醇片[编辑 | 编辑源代码]
类别西医药物
药理作用[编辑 | 编辑源代码]
本品为合成抑菌抗结核药。其作用机理尚未完全阐明。本品可渗入分枝杆菌体内干扰RNA的合成,从而抑制细菌的繁殖,本品只对生长繁殖期的分枝杆菌有效。迄今未发现本品与其他抗结核药物有交叉耐药性。本品为白色片。
动力学[编辑 | 编辑源代码]
口服后经胃肠道吸收75%~80%。广泛分布于全身组织和体液中(除脑脊液外)。红细胞内药浓度与血浆浓度相等或为其2倍,并可持续24小时;肾、肺、唾液和尿内的药浓度较高;但胸水和腹水中的浓度则较低。本品不能渗入正常脑膜,但结核性脑膜炎患者脑脊液中可有微量。其分布容积为1.6L/Kg。蛋白结合率约为20%~30%。口服2~4小时血药浓度可达峰值,半衰期(T1/2)为3~4小时,肾功能减退者可延长至8小时。主要经肝脏代谢,约15%的给药量代谢成为无活性代谢物。经肾小球滤过和肾小管分泌排出;给药后约80%在24小时内排出,至少50%以原形排泄,约15%为无活性代谢物。在粪便中以原形排出约20%。乳汁中的药浓度约相当于母血药浓度。相当量的乙胺丁醇可经血液透析和腹膜透析从体内清除。
适应症[编辑 | 编辑源代码]
适用于与其他抗结核药联合治疗结核杆菌所致的肺结核。亦可用于结核性脑膜炎及非典型分枝杆菌感染的治疗。
用法用量[编辑 | 编辑源代码]
1.成人常用量与其他抗结核药合用,结核初治,按体重15mg/kg,每日一次顿服;或每次口服25~30mg/kg,最高2.5g,每周3次;或50mg/kg,最高2.5g,每周2次。结核复治,按体重25mg/kg,每日一次顿服,连续60天,继以按体重15mg/kg,每日一次顿服。非典型分枝杆菌感染,每日~25mg/kg,一次顿服;2.小儿常用量13岁以下不宜应用本品;13岁以上儿童用量与成人相同。
不良反应[编辑 | 编辑源代码]
1.发生率较多者为视力模糊、眼痛、红绿色盲或视力减退、视野缩小(视神经炎每日按体重剂量25mg/kg以上时易发生)。视力变化可为单侧或双侧;2.发生率较少者为畏寒、关节肿痛(尤其大趾、髁、膝关节)、病变关节表面皮肤发热拉紧感(急性痛风、高尿酸血症);3.发生率极少者为皮疹、发热、关节痛等过敏反应;或麻木,针刺感、烧灼痛或手足软弱无力(周围神经炎)。
注意事项[编辑 | 编辑源代码]
1.对诊断的干扰:服用本品可使血尿酸浓度测定值增高;2.下列情况应慎用:痛风、视神经炎、肾功能减退;3.治疗期间应检查:眼部,视野、视力、红绿鉴别力等,在用药前、疗程中每日检查一次,尤其是疗程长,每日剂量超过15mg/kg的患者;血清尿酸测定,由于本品可使血清尿酸浓度增高,引起痛风发作。因此在疗程中应定期测定;4.如发生胃肠道刺激,乙胺丁醇可与食物同服。一日剂量分次服用可能达不到有效血药浓度,因此本品一日剂量宜一次顿服;5.乙胺丁醇单用时细菌可迅速产生耐药性,因此必须与其他抗结核药联合应用。本品用于曾接受抗结核药的患者时,应至少与一种以上药物合用;6.鉴于目前尚无切实可行的测定血药浓度方法,剂量应根据患者体重计算。肝或肾功能减退的患者,本品血药浓度可能增高,半衰期延长。有肾功能减退的患者应用时需减量。13岁以下儿童尚缺乏临床资料。由于在幼儿中不易监测视力变化,故本品不推荐用于13岁以下儿童。1.乙胺丁醇可透过胎盘,胎儿血药浓度约为母亲血药浓度的30%。本品在小鼠实验中高剂量可引起腭裂、脑外露和脊柱畸形等;大鼠中本品高剂量可引致轻度颈椎畸形;在家兔中本品高剂量可引起独眼畸形、短肢、兔唇和腭裂等畸形。虽然在人类中未证实,孕妇应用仍须充分权衡利弊。本品和其他药物合用时对胎儿的影响尚不清楚;2.乙胺丁醇可分布至乳汁,浓度与血药浓度相近,虽然在人类中未证实有问题,哺乳期妇女用药须权衡利弊。老年人往往伴有生理性肾功能减退,故应按肾功能调整用量。
相互作用[编辑 | 编辑源代码]
1.与乙硫异烟胺合用可增加不良反应;2.与氢氧化铝同用能减少本品的吸收;3.与神经毒性药物合用可增加本品神经毒性,如视神经炎或周围神经炎。
生产企业[编辑 | 编辑源代码]
丽珠医药集团股份有限公司、北京赛科药业有限责任公司、广东台城制药有限公司、安徽丰原药业股份有限公司、湖南张家界制药厂、河南省新乡同心制药厂、西北合成药厂、广东江门环宇制药有限公司、东北制药总厂、广东南国药业有限公司、新疆华世丹药业有限公司、合肥制药厂、江西制药有限责任公司、江苏黄河药业股份有限公司、江苏省黄海药业有限公司、甘肃省祁连山制药厂、新疆优德制药有限公司、陕西菊制药有限责任公司、陕西省医药工业研究所、陕西大华制药厂、西南药业股份有限公司、四川合成制药股份有限公司、重庆迪康长江制药有限公司、贵州六枝大华集团制药有限公司、广东省中山市沙溪制药厂、成都药业有限责任公司、成都天台山制药有限公司、成都锦华制药厂、四川乐山制药厂、广州药业公司广州明兴制药厂、海南省金岛制药厂、丽珠集团利民制药厂、丽珠集团利民制药厂、广州军区君山制药厂、河南省安阳市华安制药厂、河南省南阳普康药业集团公司、河南华利制药厂、武汉中联集团四药药业有限公司、美尔雅(集团)美升药业有限公司、威海华新药业有限公司、安徽三发制药有限公司、安徽省蚌埠海洋制药厂、安庆市海宜制药厂、安徽仁济堂药业有限公司、江苏太仓制药厂、常州康普药业有限公司、江苏帝益药业有限公司、镇江市第三制药厂、连云港恒瑞制药有限公司、上海五洲药业股份有限公司、南京白敬宇制药厂、上海赫司特五州制药有限公司、盐城生物化学制药厂、无锡艾西恩制药有限公司、吉林制药股份有限公司、吉林集安华星制药厂、黑龙江省佳木斯晨星药业有限责任公司、鞍山第二制药厂、朝阳制药厂、东北制药集团沈阳红旗制药厂、沈阳故宫制药厂、内蒙古吉兰泰盐化集团、太原卫星制药厂、大同市利群制药厂、大同市星火制药厂、大同卫华制药厂、山西省大同第二制药厂、大同市光明制药厂、山西泰盛制药有限公司、大同市光华制药厂、天津市康谊药业有限公司、天津市华新制药厂、石家庄市第五制药厂
参看[编辑 | 编辑源代码]
| ||||||||
| ||||||||