临床生物化学/基本原理的分类

来自医学百科

(一)基本原理

⒈离心力(centrifugal force,Fc)离心作用是根据在一定角度速度下作圆周运动的任何物体都受到一个向外的离心力进行的。离心力(Fc)的大小等于离心加速度ω2X与颗粒质量m的乘积,即:

Gopp55cz.jpg


其中ω是旋转角速度,以弧度/秒为单位;X是颗粒离开旋转中心的距离,以cm为单位;m是质量,以克为单位。

⒉相对离心力(relative centrifugal force,RCF)由于各种离心机转子的半径或者离心管至旋转轴中心的距离不同,离心力而受变化,因此在文献中常用“相对离心力”或“数字×g”表示离心力,只要RCF值不变,一个样品可以在不同的离心机上获得相同的结果。

RCF就是实际离心场转化为重力加速度的倍数。

Gopp49wt.jpg


式中X为离心转子的半径距离,以cm为单位;g为地球重力加速度(980cm/sec2);n为转子每分钟的转数(rpm)。

在上式的基础上,Dole和Cotzias制作了与转子速度和半径相对应的离心力的转换列线图,见图16-4,在用图16-4将离心机转数换成相对离心力时,先在离心机半径标尺上取已知的离心机半径和在转数标尺上取已知的离心机转数,然后将这两点间划一条直线,在图中间RCF标尺上的交叉点,即为相应的离心力数值。例已知离心机转数为2500rpm,离心机的半径为7.7cm,将两点连接起来交于RCF标尺,此交点500×g即是RCF值。

沉降系数(sedimentation coefficient,s)根据1924年Svedberg对沉降系数下的定义:颗粒在单位离心力场中粒子移动的速度。

Gopp52jc.jpg


Gopp46w5.jpg


若ω用2πn/60表示,则

Gopp4czx.jpg


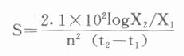
式中X1为离心前粒子离旋转轴的距离;X2为离心后粒子离旋转轴的距离。S实际上时常在10-13秒左右,故把沉降系数10-13秒称为一个Svedberg单位,简写S,量纲为秒。

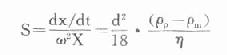
⒋沉降速度(sedimentation velocity)沉降速度是指在强大离心力作用下,单位时间内物质运动的距离。

Gopp4qw2.jpg


式中r为球形粒子半径;d为球形粒子直径;η为流体介质的粘度;ρP为粒子的密度;ρm为介质的密度。

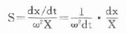
从上式可知,粒子的沉降速度与粒子直径的平方、粒子的密度和介质密度之差成正比;离心力场增大,粒子的沉降速度也增加,将此式代入上项沉降系数公式中,则S的表示式也可表示为:

Gopp4lns.jpg


从该式中可看出,①当ρP>ρm,则S>0,粒子顺着离心方向沉降。②当ρP=ρm,则S=0,粒子到达某一位置后达到平衡。③当ρP<ρm,则S<0,粒子逆着离心方向上浮。

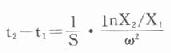
⒌沉降时间(sedimentation time,Ts)在实际工作中,常常遇到要求在已有的离心机上把某一种溶质从溶液中全部沉降分离出来的问题,这就必须首先知道用多大转速与多长时间可达到目的。如果转速已知,则需解决沉降时间来确定分离某粒子所需的时间。

根据沉降系数(S)式可得:

Gopp4wxe.jpg


离心力的转换列线图


图16-4 离心力的转换列线图

将左侧r点与右侧n点连成一条直线,与中间RCF相交的

点即为相对离心力(×g)RCF=1.118×102×r×n2

积分得

Gopp4u4k.jpg


式中X2为离心转轴中心至离心管底内壁的距离;X1为离心转轴至样品溶液弯月面之间的距离,那么样品粒子完全沉降到底管内壁的时间(t2-t1)用Ts表示则式可改为:

Gopp4zq3.jpg


式中Ts以小时为单位,S以Svedberg为单位。

⒍K系数(k factor) K系数是用来描述在一个转子中,将粒子沉降下来的效率。也就是溶液恢复成澄清程度的一个指数,所以也叫“cleaning factor”。原则上,K系数愈小的,愈容易,也愈快将粒子沉降。

Gopp585z.jpg


其中Rmax为转子最大半径;Rmin为转子最小半径。由其公式可知,K系数与离心转速及粒子沉降的路径有关。所以K系数是一个变数。当转速废,或者离心管的溶液量不同,即粒子沉降的路径改变时,K系数就改变了。通常,离心机的转子说明书中提供的K系数,都是根据最大路径及在最大转速下所计算出来的数值。如果已知粒子的沉降系数为80S的Polysome,采用的转子的K系数是323,那么预计沉降到管底所需的离心时间是T=k/S=4h,利用此公式预估的离心时间,对水平式转子最适合;对固定角式转子而言,实际时间将比预估的时间来得快些。

(二)分类

根据离心原理,按照实际工作的需要,目前已设计出许多离心方法,综合起来大致可分三类。

⒈平衡离心法根据粒子大小、形状不同进行分离,包括差速离心法(differential velocitycentrifugation)和速率区带离心法(rate zonal centrifugation)。

等密度离心法(jsopycnic centrifugation)又称等比重离心法,依粒子密度差进行分离,等密度离心法和上述速率区带离心法合称为密度梯度离心法。

⒊经典式沉降平衡离心法用于对生物大分子分子量的测定、纯度估计、构象变化等。