临床生物化学/使用可信区间判断指标判断
可信区间判断指标比较复杂,但能对方法性能提供更客观的决定,起最后判断作用。
⒈90%可信区间,可信上限及可信下限统计学的规律说明,每种测定结果的可靠性与测定次数有关,次数愈多,结果反映真实性愈强;但实际上,不可能进行大量的测定。在统计学中为了估量分析误差的不确定性,对于每一误差可计算其可信区间,用可信上限与可信下限代替单值的估量,EU为误差的可信上限,EL为误差的可信下限。West-gard推荐用90%的可信区间,这样,EU将是误差单侧的95%上限,用此判断候选方法的可接受性比较可靠。假如,EU<EA,则方法性能为可接受;假如EL>EA,则方法必须改进,以减少误差,否则排除。假如EU>EA,但EL<EA,说明仅有的数据不足以作出任何有关可接受性的结论,还需继续实验以收集更多的数据,以便对分析误差作出较好的估量。可信区间判断指标见表20-4
表20-4 可信区间判断指标
这些指标在形式上与表20-3的单值判断指标相似,最明显的差别是对每一类型误差用两个判断指标,其一是判断可接受性,其二是判断排除。对RE、PE及CE的判断指标,仅用了误差估量的上限和下限。SE和TE的判断指标较为复杂,引入了一个的术语“W”。
W是回归线可信区间的宽度(与给定的Xc相对应的Yc值范围),对于一给定的Xc,Yc的上下可信限由方程(a+bXc)±W计算得到。W计算式如下:
W=t(SY/X)〔1/N+(Xc-X)2/∑(Xi-X)2〕1/2
W的大小取决于选择的百分区间(这里是90%),即和选择的值有关(这里选双侧)。W也和回归线标准差SY/x成正比关系,SY/x直接反应方法对比数据的不确定性。中括号内的式子表明,在N很大,Xc=X,W很小,若Xc无论在哪一方向逐渐偏高X,则(Xc-X)之差增大,W也增大。如图20-3表示。
图20-3 回归线的可信区间
⒉计算举例这里介绍某血清钙测定方法的各种评价实验数据,用五个例子概括说明。需指出的是,作为误差估量的上下限,必须具有相同的代数符号,否则下限应取作零。
例一 用可信区间判断指标确定偶然误差(RE)是否为可接受。
由重复性试验获得:N=21,Y=11.0mmol/L,STM=0.08mmol/L
假设Xc=11.0mmol/L时,EA=0.5mmol/L,
⑴计算STN的95%可信限
STMU=STM×fu STML=STM×fL
由表20-5查自由度
df=(N-1)fU、fL的值(f为计算因素)
现N=21,df=20,fU=1.358,fL=0.7979
则:STMU=0.08×1.358=0.11mmol/L
STML=0.08×0.7979=0.06mmol/L
表20-5计算单侧可信限(95%)的f值
| df | fu | fl |
| 10 | 1.593 | 0.7391 |
| 20 | 1.358 | 0.7979 |
| 30 | 1.274 | 0.8279 |
| 40 | 1.228 | 0.8480 |
| 60 | 1.179 | 0.8710 |
| 80 | 1.151 | 0.8860 |
| 100 | 1.133 | 0.8968 |
⑵计算REU和REL
REU=1.96STMU=1.96×0.11=0.22mmol/L
REL=1.96STML=1.96×0.06=0.12mmol/L
⑶将以上估量值与EA比较
REU<EA即0.22<0.5。因此,由重复性试验所得的RE是在可接受的低水平上。
例二 由可信区间判断指标判断比例误差(PE)是否为可接受。
回收试验的数据:N=9,R=99、98、98、99、100、98、99、100(%)
设:Xc=11.0mmol/L,EA=0.5mmol/L
⑴计算平均回收率R及标准误SR:
R=98.9% SR=0.78%
⑵计算平均回收率的标准误SR:
表20-6 90%可信区间或95%可信限的t值
| df | T | df | t |
| 3 | 2.35 | 12 | 1.78 |
| 4 | 2.13 | 14 | 1.76 |
| 5 | 2.02 | 16 | 1.75 |
| 6 | 1.94 | 20 | 1.72 |
| 7 | 1.90 | 25 | 1.71 |
| 8 | 1.86 | 30 | 1.70 |
| 9 | 1.83 | 40 | 1.68 |
| 10 | 1.81 | 120 | 1.66 |
⑶计算R的95%可信限
RU=R+t×SR RL=R-t×SR
从表20-6 t值表中查t值
现N=9,df=8,t0.01=1.86
则:RU=98.9+1.86×0.26
98.9+0.48=99.4%
RL=98.9-1.86×0.26
=98.9-0.484=98.42%
⑷计算%PE的上下可信限:
%PEU=|RU或L-100|U
%PEL=|RU或L-100|L
%PEU=|98.4-100|=1.6%
%PEL=|99.4-100|=0.6%
⑸将%PEU及%PEL与Xc相乘,换算成浓度单位%PEU及%PEL。
PEU=%PEU.Xc=1.6%×11.0mmol/L=0.18mmol/L
PEL=%PEL×Xc=0.6×11.0mmol/L=0.07mmol/L
⑹将以上测得的PRU值与EA作比较
PEU<EA即0.18<0.5。因此,作为回收试验测得的PE值是在可接受的低水平上。
例三用可信区间判断指标确定恒定误差(CE)是否为可接受。
由干扰试验得到下列数据表20-7
表20-7 干扰试验结果
| 标本号 | 测得浓度mmol/L | 干扰值 Mmol/L | |
| 未加干扰物 | 加干扰物 | ||
| 1 | 10.72 | 10.69 | -0.03 |
| 2 | 8.56 | 8.51 | -0.05 |
| 3 | 11.60 | 11.58 | -0.02 |
| 4 | 6.45 | 6.41 | -0.04 |
| 5 | 14.12 | 14.08 | -0.04 |
| 6 | 12.30 | 12.27 | -0.03 |
| 7 | 9.75 | 9.72 | -0.03 |
| 8 | 5.84 | 5.82 | -0.02 |
| 9 | 10.41 | 10.38 | -0.03 |
设:Xc=11.0mmol/L,EA=0.5mmol/L
⑴计算平均干扰值d及标准差Sd:
d=0.032mmol/L,Sd=0.0097mmol/L
⑵计算CE的95%可信限:
从表20-6查得当N=9,df=8,t0.01=1.86
⑶将以上CE值与EA作比较
CEU<EA即0.038<0.5,因此,通过试验测得的CE值,在可接受的水平。
例四 用可信区间判断指标确定系统误差(SE)是否为可接受。
由方法对比试验得到下列数据:
N=109,a=0.25mmol/L,b=0.981,SY/x=0.351mmol/L,X=8.42mmol/L,Sx=5.42mmol/L
设:Xc=11.0mmol/L时,EA=0.5mmol/L
⑴计算相当于Xc的候选方法Yc值:
Yc=a+bXc=0.25+0.981×11.0=11.04mmol/L
⑵计算Yc的可信区间宽度W:
W=t(SY/x)〔1/N+(Xc-X)2/∑(Xi-X)2〕1/2〕
查表20-6,N=109,df用120,t=1.66
从Sx式中计算∑(Xi-X)2,即
则∑(Xi-X)2=Sx2(N-1),因此
∑(Xi-X)2=(5.42)2(109-1)=3172.65
将各数据代入得
W=1.66(0.351)〔1/109+(11.0-8.42)2/3172.65〕1/2=0.062mmol/L
⑶计算SEU及SEL:
SEU=|(Yc±W)-Xc|U=|(11.04+0.062)-11.0|U=0.102mmol/L
SEL=|(Yc±W)-Xc|L=|(11.04-0.062)-11.0|L=0.022mmol/L
注意:用+W还是用-W,需视能获得较大的SEU值而定。
⑷将以上SEU值与EA值作比较
SEU<EA,即0.102<0.5,因此,从方法对比试验中测得的系统误差在可接受的低水平。
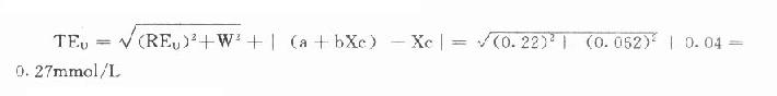
例五 用可信区间判断指标确定总误差(TE)是否不为可接受。
用例一重复试验和例四方法比较试验所得RE及SE计算总误差。
设:Xc=11.0mmol/L时,EA=0.5mmol/L,
⑴计算TEU:
⑵计算TEL:
⑶将以上TE值和EA值作比较
TEU<EA,即0.27<0.5,因此,TE值已足以小到可接受的水平。
如果候选方法被得出可接受性的结论,那么接着就要进行评价后实施;最后进入方法应用阶段。不要以为一经评价合格的方法就可产生高质量的结果,还须建立质控系统,以便随时发现合格的方法在实施过程中出现的问题。要善于发现其中还存在的不足并进一步研究解决使其日臻完善。
评价实验完成以后,应该写出书面报告,报告中除了叙述操作方法(包括试剂配制与所需器材)以外,应着重写出所选方法的各项性能指标,要特别重视实验数据的科学整理与客观陈述。评价实验的结果也可整理成论文在专业杂志上发表。